Rep:Mod:dt2315MC2DIM
Introduction to the Ising Model
The Model
- The lowest energy configuration
This is achieved in a parallel alignment of the magnetic spins. If is spin up and is spin down, the energy can be calculated as:
The energy is minimum when the sum is maximised. This happens when the so the all the spins must be the same–either all spin up or down. It is should be noted that the number of spin interactions is 2 x the number of dimensions (i.e. each spin interacts with 2 in 1D, with 4 spins in 2D and 6 spins in 3D).
In that case, the formula can be simplified as follows, where is the number of dimensions and is the total number of spins:
Example: In 1D and N = 5, if all the spins are spin up, each interaction so . Note: if first and last spin are considered to only interact once so there is no need to half the interactions. The same result would be obtained using:
- Multiplicity of the lowest energy state
The multiplicity is given by combinations of the N spins available. The spins can either be all up or all down in this configuration and spins are indistinguishable from each other, so the multiplicity is:
- Entropy of the lowest energy state
Phase Transitions
Change in spin
If the system is in the lowest energy configuration (i.e. all spins up or all down), in order to move to a different state, one of the spins must spontaneously change direction. The change in energy and the change in entropy are calculated for a lattice with .
- Change in energy
The spin that is flipped leads to 6 spin interactions that increase the energy (in 3D).
- Change in entropy
The entropy gained by the system is given by:
- 2 state possible with all spins up/down
- if one spin is up it can take any of the 1000 positions; same for on spin down
The entropy increased 10 times by only flipping one spin.
Magnetisation
The magnetisation is calculated for the 1D and 2D lattices shown below.
- 1D
- 2D
- Ising lattice with at absolute 0 K
At absolute 0 the lattice is in the region below the critical temperature and shows ferromagnetic behaviour. As a result, the magnetisation would be expected to maximum (absolute value).
If all spins are up:
If all spins are down:
Calculating the energy and magnetisation
The energy was calculated in units and the results of the ILcheck.py script are shown below.

Introduction to the Monte Carlo simulation
- 100 spins system
For a system with 100 spins, such as a 10x10 2D lattice for which it is generously assumed that configurations can be analysed per second, the time to evaluate a single value of the magnetisation at one particular temperature can be estimated:
Number of possible configurations:
Estimated time: seconds or more than
A quicker way is obviously needed and Importance sampling is used by neglecting the states which are very unlikely to occur (i.e. vanishingly small Boltzmann factor). A montecarlocycle(T) function is presented below. The function returns the energy (in units of ) and the magnetisation of the lattice at the end of the cycle.
def montecarlostep(self, T): #the function performs a single Monte Carlo step E_0 = self.energy() #two random coordinates are selected to choose a spin random_i = np.random.choice(range(0, self.n_rows)) random_j = np.random.choice(range(0, self.n_cols)) #one random number in the range[0,1) is generated random_number = np.random.random() self.lattice[random_i, random_j] = -(self.lattice[random_i, random_j]) E_1 = self.energy() d_E = E_1 - E_0 if d_E <= 0: pass #configuration with spin flipped accepted else: if random_number <= np.exp((-d_E)/T): pass #configuration with spin flipped accepted else: self.lattice[random_i, random_j] = -(self.lattice[random_i, random_j]) #configuration with spin flipped rejected and spin is flipped back self.n_cycles += 1 if self.n_cycles > self.N: #the values are changed only after the number of cycles that are chosen to be ignored for each lattice self.E += self.energy() self.E2 += self.energy()**2 self.M += self.magnetisation() self.M2 += self.magnetisation()**2 else: pass energy = self.energy() magnetisation = self.magnetisation() #the function returns the energy and magnetisation of the current lattice (not the total ones) return energy, magnetisation
def statistics(self): #the function calculates the values for the averages of E, E*E (E2), M, M*M (M2), and returns them return self.E/(self.n_cycles - self.N), self.E2/(self.n_cycles - self.N), self.M/(self.n_cycles - self.N), self.M2/(self.n_cycles - self.N), self.n_cycles
- Reaching an equilibrium state at
Below the Curie Temperature, equilibrium can be reached in two ways: all the spins have the same orientation OR the spins cancel out overall and there are magnetic regions (Weiss domains) within which the magnetisation is in a uniform direction. In both situations, the magnetisation is expected to be 0. However, if there is enough thermal energy, some spins could randomly flip, but shortly re-equilibrate and the average is expected to be 0.
The two equilibrium situation are shown below with the output from the statistics() function. It should be noted that the average magnetisation is not 0 as the configurations at the beginning of the simulations are taken into account.
Averaged quantities for equilibration with spins in the same orientation:

E = -1.68658447266 E*E = 3.02299118042 M = -0.816345214844 M*M = 0.730360031128
Averaged quantities for equilibration with 3 magnetic regions:

E = -1.31509433962 E*E = 1.79771029874 M = 0.0245479559748 M*M = 0.00829218258648
Accelerating the code
The results of the ILtimetrial.py are given below for 10 repeats in each case
- 2000 Monte Carlo steps before optimisation
seconds
- 2000 Monte Carlo steps after optimisation
seconds
The duration of the simulation has become 18 times shorter by removing the double for loop and the functions used are provided below.
magnetisation = np.sum(self.lattice)
S += np.sum(np.multiply(self.lattice, np.roll(self.lattice, 1, axis = 1))) #rolls the last column in front of the lattice S += np.sum(np.multiply(self.lattice, np.roll(self.lattice, 1, axis = 0))) #rolls the last row at the top of the lattice energy = - self.J * S
Note: no 1/2 factor is needed as the spin interactions are only counted once.
The effect of temperature
- Equilibrium data
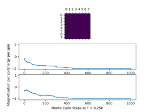
The script ILfinalframe.py was run at T = 0.25 K, and the plots are presented below. A low temperature below the critical temperature was chosen as the system takes longer to equilibrate at low temperatures, with less thermal energy. For each lattice size, a number of N cycles was ignored in the calculation of averages. It can be seen how the first steps which do not reflect the equilibrium situation can strongly affect the average values. Consequently, the statistics() and montecarlostep() functions were modified.
Lattice size | Cycles ignored | Running time | # repeats |
---|---|---|---|
2 x 2 | 20 | 500 | 5 |
4 x 4 | 100 | 5000 | 5 |
8 x 8 | 500 | 10,000 | 5 |
16 x 16 | 10,000 | 200,000 | 5 |
32 x 32 | 200,000 | 500,000 | 5 |
64 x 64 | 500,000 | 1,000,000 | 3 |
2x2 | 4x4 | 8x8 |
---|---|---|
![]() |
![]() |
![]() |
16x16 | 32x32 | 64x64 |
---|---|---|
![]() |
![]() |
![]() |
- Energy and Magnetisation for an lattice
For this size, 500 cycles were ignored and the error bars shown in the graphs below give the standard deviation calculated for 5 repeats. The temperature range tested was 0.3 to 5.0, with a spacing of 0.1. It is expected that the error bars for energy are smaller than the ones for magnetisation since the system strives to achieve the minimum energy configuration, while the process of spin flipping is more random and different configurations with the same energy can be achieved.


The effect of system size
The calculation of energy and magnetisation was repeated for a range of lattice sizes and the corresponding number of cycles were removed. As expected, the error bars decrease with size. However, even for large systems like 32x32 or 64x64, the error bars are still large in the vicinity of the Curie Temperature. These correspond to the long range fluctuations caused by the random configurations that the system adopts after this point–the system goes from a ferromagnetic one to a paramagnetic one. While the bigger the lattice, the better the results are expected to be, the 32x32 lattice looks like it could provide a reasonable approximation, especially with an increased number of repeats.
2x2 | 4x4 | 8x8 |
---|---|---|
![]() |
![]() |
![]() |
![]() |
![]() |
![]() |
16x16 | 32x32 | 64x64 |
---|---|---|
![]() |
![]() |
![]() |
![]() |
![]() |
![]() |
Note: the simulation were run 5 times for all of the lattices apart from for the 64x64 which was only run 3 times.
Determining the heat capacity
Derivation
Definition of heat capacity:
Definition of average energy and squared energy:
Definition of partition function:
can be differentiated using the product rule as follows where and .
Using the results above:
Using the definition of variance:
Comparison with C++ data
The average heat capacities from 5 runs and the corresponding error bars were plotted for each lattice in comparison with the given C++ data. They seem in relatively good agreement and the data should become more and more similar with an increased number of repeats. The heat capacity becomes strongly peaked close of the critical temperature and as the lattice size increases. Moreover, the Curie temperature changes with system size.
2x2 | 4x4 | 8x8 |
---|---|---|
![]() |
![]() |
![]() |
16x16 | 32x32 | 64x64 |
---|---|---|
![]() |
![]() |
![]() |
A plot of the heat capacities from the C++ data is shown to illustrate how heat capacity increases with size.
Locating the Curie Temperature
Polynomial fitting
The data for the 32x32 lattice was fitted as o polynomially. Different orders were tried and while the 15th order is one of the ones that works best, it is obviously still a poor fit.
Fitting in a particular temperature range
A much better fit was achieved by fitting the polynomial only to the peak of the heat capacity, on a temperature range between 2.1 K and 2.4 K. A comparison with the C++ data is shown and the values for the temperatures corresponding the the maximum heat capacity are given.
![]() |
![]() |
Finding the peak in C
- Estimate of
The temperature at which the maximum heat capacity occurs was plotted against 1/L for the C++ data for all the lattice sizes. As it can be seen, this temperature decreases with size and two fits are shown–one which using all the data and another one that only takes into considerations the 3 highest lattices. The estimate for is given when 1/L goes to 0, so when the line crosses the y axis.
The value is slightly higher than the prediction of . However, significantly improves if only the larger sizes are used.
- Sources of error
The possible sources of error in calculating the Curie Temperature could be the fact that small size lattices are used. The results for my data are slightly higher and these should improve if more repeats are done, with longer running times and smaller temperature intervals in critical region.
This was tried with 4 additional runs for the 32x32 lattice on a temperature range between 2 and 2.4 with intervals of 0.05 K. It can be seen that this already provides a much better fit when compared to the C++ data.
Overall however, the results after 5 repeats show reasonable error bars and are quite similar to the C++ data.
References
1. H. A Kramers and G. H Wannier, "Statistics of the Two-dimensional Ferromagnet, Part I.", Physical Review, 60, 252, (1941).
2. A. E. Ferdinand and M. E. Fisher, "Bounded and Inhomogeneous Ising Models. I. Specific-Heat Anomaly of a Finite Lattice", Physical Review, 185, 832 (1969).
IsingLattice source code
import numpy as np class IsingLattice: E = 0.0 E2 = 0.0 M = 0.0 M2 = 0.0 n_cycles = 1 J = 1 N = 200000 #N = number of cycles ignored until energy and magnetisation become constant def __init__(self, n_rows, n_cols): self.n_rows = n_rows self.n_cols = n_cols self.lattice = np.random.choice([-1,1], size=(n_rows, n_cols)) def energy(self): S = 0 "Return the total energy of the current lattice configuration." "Code before optimization below" #N = self.n_rows #for i in range(self.n_rows): # for j in range(self.n_cols): # spin = self.lattice[i, j] # S += spin * (self.lattice[(i - 1)%N, j] + self.lattice[(i + 1)%N, j] + self.lattice[i, (j - 1)%N] + self.lattice[i, (j + 1)%N]) #calculates the sum of the neighbors for each element by taking into account what happens at the edges of the lattice #energy = (- 1 / 2) * self.J * S # 1/2 factor takes into account the fact the the interactions are counted twice "Code after optimization" S += np.sum(np.multiply(self.lattice, np.roll(self.lattice, 1, axis = 1))) #rolls the last column S += np.sum(np.multiply(self.lattice, np.roll(self.lattice, 1, axis = 0))) #rolls the last row energy = - self.J * S return energy def magnetisation(self): "Return the total magnetisation of the current lattice configuration." magnetisation = np.sum(self.lattice) return magnetisation def montecarlostep(self, T): #the function performs a single Monte Carlo step E_0 = self.energy() #two random coordinates are selected to choose a spin random_i = np.random.choice(range(0, self.n_rows)) random_j = np.random.choice(range(0, self.n_cols)) #one random number in the range[0,1) is generated random_number = np.random.random() self.lattice[random_i, random_j] = -(self.lattice[random_i, random_j]) E_1 = self.energy() d_E = E_1 - E_0 if d_E <= 0: pass #configuration with spin flipped accepted else: if random_number <= np.exp((-d_E)/T): pass #configuration with spin flipped accepted else: self.lattice[random_i, random_j] = -(self.lattice[random_i, random_j]) #configuration with spin flipped rejected and spin is flipped back self.n_cycles += 1 if self.n_cycles > self.N: #the values are changed only after the number of cycles that are chosen to be ignored for each lattice self.E += self.energy() self.E2 += self.energy()**2 self.M += self.magnetisation() self.M2 += self.magnetisation()**2 else: pass energy = self.energy() magnetisation = self.magnetisation() #the function returns the energy and magnetisation of the current lattice (not the total ones) return energy, magnetisation def statistics(self): #the function calculates the values for the averages of E, E*E (E2), M, M*M (M2), and returns them return self.E/(self.n_cycles - self.N), self.E2/(self.n_cycles - self.N), self.M/(self.n_cycles - self.N), self.M2/(self.n_cycles - self.N), self.n_cycles