Jump to content

Rep:Mod:clc09mod2

From ChemWiki

Year 3 Computational Chemistry: Chew Chee Leong


Module 2: Computational (Inorganic) Chemistry


Introduction

In this module, we explore various quantum mechanical and computational methods which allow us to (1) optimise the energies of molecules, (2) solve the Schrödinger's equation (electronic structures) and thus obtain molecular orbitals (MO), and (3) perform vibrational analysis and obtain IR spectra. Depending on the molecule being investigated, larger and more complex models will need more computational power (SCAN) and time. Nevertheless, the density functional theory (DFT) approach via B3LYP method will get most of the work done since it can estimate molecular structures to a high degree of accuracy at the cost of very little computational processing.


Part 1: Analysis of BH3


Optimisation of BH3

Below is the summary file of BH3 optimisation on Gaussian using the DFT/ B3LYP method:

BH<sub>3</sub> optimisation
File Name = BH3_OPTIMISATION
File Type = .log
Calculation Type = FOPT
Calculation Method = RB3LYP
Basis Set = 3-21G
Charge = 0
Spin = Singlet
E(RB3LYP) = -26.46226433 a.u.
RMS Gradient Norm = 0.00004507 a.u.
Imaginary Freq =
Dipole Moment = 0.0000 Debye
Point Group = D3H
Job cpu time:  0 days  0 hours  0 minutes 9.0 seconds.

The value of RMS gradient = 0.00004507 a.u. (<0.001), meaning the optimisation was complete; the optimised form should be on the stationary point of the energy graph (i.e. located at the minimum of the 1st derivative). Convergence of the job was also examined:

Item               Value     Threshold  Converged?
 Maximum Force            0.000090     0.000450     YES
 RMS     Force            0.000059     0.000300     YES
 Maximum Displacement     0.000352     0.001800     YES
 RMS     Displacement     0.000230     0.001200     YES
 Predicted change in Energy=-4.580970D-08
 Optimization completed.
    -- Stationary point found.
                           ----------------------------
                           !   Optimized Parameters   !
                           ! (Angstroms and Degrees)  !
 --------------------------                            --------------------------
 ! Name  Definition              Value          Derivative Info.                !
 --------------------------------------------------------------------------------
 ! R1    R(1,2)                  1.1945         -DE/DX =   -0.0001              !
 ! R2    R(1,3)                  1.1945         -DE/DX =   -0.0001              !
 ! R3    R(1,4)                  1.1945         -DE/DX =   -0.0001              !
 ! A1    A(2,1,3)              120.0            -DE/DX =    0.0                 !
 ! A2    A(2,1,4)              120.0            -DE/DX =    0.0                 !
 ! A3    A(3,1,4)              120.0            -DE/DX =    0.0                 !
 ! D1    D(2,1,4,3)            180.0            -DE/DX =    0.0                 !
 --------------------------------------------------------------------------------
 GradGradGradGradGradGradGradGradGradGradGradGradGradGradGradGradGradGrad

From the data on Gaussview, the (B-H) bond lengths were 1.19453Å (Literature value = 1.19Å)[1], while the (H-B-H) bond angles were 120o , suggesting the molecule was trigonal planar.


Diagram 1: Optimisation output


Molecular orbital analysis of BH3

The following MO were constructed using Gaussview and their corresponding energy levels were recorded:

Orbital Geometry Energy /eV Molecular Orbital Structure
2e' (degenerate) 0.17928
3a1' 0.16589
1a2 (LUMO) -0.06821
1e' (HOMO) (degenerate) -0.35290
2a1' -0.51516
1a1' -6.76641

Gaussian predicted two pairs of degenerate orbitals 1e' and 2e' accurately; as shown in conventional BH3 MO diagrams. Gaussian also predicted 2e' to be higher in energy than 3a1'. However, the ordering of these orbitals in terms of energy may be hard to rationalise.


NBO analysis of BH3

The charge distribution of BH3 was calculated using DFT/B3LYP method. The Boron atom is green and has a charge of +0.33161, while the hydrogen atoms are dark-red and have a charge of -0.11054. The net charge here is 0; or apolar since the molecule is symmetrical.


Diagram 2: NBO & charge distribution of BH3

Summary of Natural Population Analysis:                 
                                                         
                                       Natural Population
                Natural  -----------------------------------------------
    Atom  No    Charge         Core      Valence    Rydberg      Total
 -----------------------------------------------------------------------
      B    1    0.33121      1.99904     2.66976    0.00000     4.66879
      H    2   -0.11040      0.00000     1.11008    0.00032     1.11040
      H    3   -0.11040      0.00000     1.11008    0.00032     1.11040
      H    4   -0.11040      0.00000     1.11008    0.00032     1.11040
 =======================================================================
   * Total *    0.00000      1.99904     6.00000    0.00097     8.00000
(Occupancy)   Bond orbital/ Coefficients/ Hybrids
 ---------------------------------------------------------------------------------
     1. (1.99851) BD ( 1) B   1 - H   2 
                ( 44.49%)   0.6670* B   1 s( 33.33%)p 2.00( 66.67%)
                                            0.0000  0.5774  0.0000  0.0000  0.0000
                                            0.8165  0.0000  0.0000  0.0000
                ( 55.51%)   0.7451* H   2 s(100.00%)
                                            1.0000  0.0000
     2. (1.99851) BD ( 1) B   1 - H   3 
                ( 44.49%)   0.6670* B   1 s( 33.33%)p 2.00( 66.67%)
                                            0.0000  0.5774  0.0000  0.7071  0.0000
                                           -0.4082  0.0000  0.0000  0.0000
                ( 55.51%)   0.7451* H   3 s(100.00%)
                                            1.0000  0.0000
     3. (1.99851) BD ( 1) B   1 - H   4 
                ( 44.49%)   0.6670* B   1 s( 33.33%)p 2.00( 66.67%)
                                            0.0000  0.5774  0.0000 -0.7071  0.0000
                                           -0.4082  0.0000  0.0000  0.0000
                ( 55.51%)   0.7451* H   4 s(100.00%)
                                            1.0000  0.0000
     4. (1.99904) CR ( 1) B   1           s(100.00%)
                                            1.0000  0.0000  0.0000  0.0000  0.0000
                                            0.0000  0.0000  0.0000  0.0000
     5. (0.00000) LP*( 1) B   1           s(100.00%)

The data above showed that Boron atom was sp2 hybridised.


Vibrational analysis of BH3

Vibrational mode Frequency/cm-1 Intensity Point Group Animation
1 1146.03 92.6653 a2"
2 1204.86 12.3919 e'
3 1204.86 12.3944 e'
4 2591.65 0.0000 a1'
5 2730.07 103.8565 e'
6 2730.07 103.8497 e'

There were six vibrational modes. The frequencies show positive values; indicating complete optimisation of the molecule whereas negative values would mean that the molecule could be in the transition state and not in the ground state.


Diagram 3: IR spectrum of BH3


Part 2: Analysis of TlBr3


Optimisation of TlBr3


Optimisation of TlBr3 via the DFT/B3LYP method was done under the condition of restricting its symmetry the point group to D3h and setting the tolerance from default to very tight. This is a special case and reason behind is to avoid problems with vibrational analysis in the later part. A pseudo potential or LanL2DZ was chosen for the basis set because TlBr3 is heavy and contains many electrons. Also, Tl and Br atoms may exhibit relativistic effects that cannot be recovered by the standard Schrödinger wave equation. From the optimised version, the Tl-Br bond distance = 2.65095Å (Literature = 2.65Å)[2] while the Br-Tl-Br bond angle = 120.000o

Below is the summary file of TlBr3 optimisation on Gaussian using the DFT/ B3LYP method:

TlBr3 optimisation
File Name = TLBR3_OPTIMISATION
File Type = .log
Calculation Type = FOPT
Calculation Method = RB3LYP
Basis Set = LANL2DZ
Charge = 0
Spin = Singlet
E(RB3LYP) = -91.21812851 a.u.
RMS Gradient Norm = 0.00000090 a.u.
Imaginary Freq =
Dipole Moment = 0.0000 Debye
Point Group = D3H
Job cpu time:  0 days  0 hours  0 minutes 29.0 seconds.

RMS Gradient = 0.00000090 (<0.01); optimisation is complete

Item               Value     Threshold  Converged?
 Maximum Force            0.000002     0.000450     YES
 RMS     Force            0.000001     0.000300     YES
 Maximum Displacement     0.000022     0.001800     YES
 RMS     Displacement     0.000014     0.001200     YES
 Predicted change in Energy=-6.082801D-11
 Optimization completed.
    -- Stationary point found.
                           ----------------------------
                           !   Optimized Parameters   !
                           ! (Angstroms and Degrees)  !
 --------------------------                            --------------------------
 ! Name  Definition              Value          Derivative Info.                !
 --------------------------------------------------------------------------------
 ! R1    R(1,2)                  2.651          -DE/DX =    0.0                 !
 ! R2    R(1,3)                  2.651          -DE/DX =    0.0                 !
 ! R3    R(1,4)                  2.651          -DE/DX =    0.0                 !
 ! A1    A(2,1,3)              120.0            -DE/DX =    0.0                 !
 ! A2    A(2,1,4)              120.0            -DE/DX =    0.0                 !
 ! A3    A(3,1,4)              120.0            -DE/DX =    0.0                 !
 ! D1    D(2,1,4,3)            180.0            -DE/DX =    0.0                 !
 --------------------------------------------------------------------------------
 GradGradGradGradGradGradGradGradGradGradGradGradGradGradGradGradGradGrad

Convergence of parameters; optimisation is complete


Vibrational analysis of TlBr3

Below is the summary file of TlBr3 frequency on Gaussian using the DFT/ B3LYP method:

TlBr3 frequency
File Name = CLC09_TLBR3_FREQ
File Type = .log
Calculation Type = FREQ
Calculation Method = RB3LYP
Basis Set = LANL2DZ
Charge = 0
Spin = Singlet
E(RB3LYP) = -91.21812851 a.u.
RMS Gradient Norm = 0.00000088 a.u.
Imaginary Freq = 0
Dipole Moment = 0.0000 Debye
Point Group = D3H
Job cpu time:  0 days  0 hours  0 minutes 40.0 seconds.
Vibrational mode Frequency/cm-1 Intensity Point Group Animation
1 46.43 3.6867 e'
2 46.43 3.6867 e'
3 52.14 5.8466 a2"
4 165.27 0.0000 a1'
5 210.69 25.4830 e'
6 210.69 25.4797 e'


Diagram 4: IR spectrum of TlBr3

The IR spectrum of TlBr3 was analogous to BH3 since both molecules share the same point group, D3H. The only main difference between the two spectra was that the vibrational frequencies of TlBr3 were significantly lower compared to BH3. The reason is due to mass number of Tl being 20 times larger than that of Boron and Br is much heavier than H.

Below are the Low frequencies found in the CLC09_TLBR3_FREQ.log file:

 Low frequencies ---   -3.4213   -0.0026   -0.0004    0.0015    3.9367    3.9367
 Low frequencies ---   46.4289   46.4292   52.1449
 Harmonic frequencies (cm**-1), IR intensities (KM/Mole), Raman scattering
 activities (A**4/AMU), depolarization ratios for plane and unpolarized
 incident light, reduced masses (AMU), force constants (mDyne/A),
 and normal coordinates:
                     1                      2                      3
                    E'                     E'                     A2"
 Frequencies --    46.4289                46.4292                52.1449
 Red. masses --    88.4613                88.4613               117.7209
 Frc consts  --     0.1124                 0.1124                 0.1886
 IR Inten    --     3.6867                 3.6867                 5.8466
  Atom  AN      X      Y      Z        X      Y      Z        X      Y      Z
     1  81     0.00   0.28   0.00    -0.28   0.00   0.00     0.00   0.00   0.55
     2  35     0.00   0.26   0.00     0.74   0.00   0.00     0.00   0.00  -0.48
     3  35     0.43  -0.49   0.00    -0.01  -0.43   0.00     0.00   0.00  -0.48
     4  35    -0.43  -0.49   0.00    -0.01   0.43   0.00     0.00   0.00  -0.48

What is a Bond?

A bond is an inter atomic attraction, caused by net attractions and repulsions between positive (nuclei) and negative (electrons) charges. Attractive force is proportional to inter-atomic distance i.e. two atoms attract each other from far and their distance decreases to a point in which further decrease in inter-atomic distance will lead to exponential repulsion between the nuclei of the two atoms. This is well portrayed in the Lennard-Jones potential graph. A bond length is the ideal or equilibrium inter-atomic distance where the potential well lies and a bond is considered stable.


Part 3: Analysis of Isomers of Mo(CO)4L2 - Cis Trans Isomerism

First optimisation

The isomers were optimised using the DFT/B3LYP method with LANL2MB as basis set with the additional keyword opt=loose to allow faster calculation of these rough models.

trans isomer optimisation
File Name = TRANSISOMEROPT
File Type = .log
Calculation Type = FOPT
Calculation Method = RB3LYP
Basis Set = LANL2MB
Charge = 0
Spin = Singlet
E(RB3LYP) = -617.52198650 a.u.
RMS Gradient Norm = 0.00116748 a.u.
Imaginary Freq =
Dipole Moment = 0.0000 Debye
Point Group = C1
Job cpu time:  0 days  0 hours  11 minutes 42.0 seconds.
cis isomer optimisation
File Name = CISISOMEROPT
File Type = .log
Calculation Type = FOPT
Calculation Method = RB3LYP
Basis Set = LANL2MB
Charge = 0
Spin = Singlet
E(RB3LYP) = -617.52501663 a.u.
RMS Gradient Norm = 0.00008743 a.u.
Imaginary Freq =
Dipole Moment = 8.4775 Debye
Point Group = C1
Job cpu time:  0 days  0 hours 42 minutes 21.0 seconds.

The cis isomer was predicted to be more stable than the trans isomer. The dipole moment for the cis isomer was 8.4775D (large) while trans-isomer has zero dipole moment. This is due to the symmetry of the molecules.

Second optimisation

The optimised geometries were manually altered and re-optimised using the LANL2DZ basis set with the additional keywords in=ultrafine


Diagram 5: Manual alteration of isomers

modified trans isomer optimisation
File Name = modtransisomeropt
File Type = .log
Calculation Type = FOPT
Calculation Method = RB3LYP
Basis Set = LANL2DZ
Charge = 0
Spin = Singlet
E(RB3LYP) = -623.57603106 a.u.
RMS Gradient Norm = 0.00002120 a.u.
Imaginary Freq =
Dipole Moment = 0.3029 Debye
Point Group = C1
Job cpu time:  0 days  0 hours  46 minutes  43.8 seconds.

modified cis isomer optimisation
File Name = modcisisomeropt
File Type = .log
Calculation Type = FOPT
Calculation Method = RB3LYP
Basis Set = LANL2DZ
Charge = 0
Spin = Singlet
E(RB3LYP) = -623.57707196 a.u.
RMS Gradient Norm = 0.00000383 a.u.
Imaginary Freq =
Dipole Moment = 1.3074 Debye
Point Group = C1
Job cpu time:  0 days  1 hours  21 minutes  21.9 seconds.


The second alteration followed by optimisation calculated the cis to be more stable than trans. The dipole moment in modified trans isomer increased slightly from 0 to 0.3029 Debye due to loss of inversion centre after manual modification.

Bond lengths and bond angles

The isomers were investigated by comparing bond lengths and bond angles.

Cis-Isomer
Bond Length/ Angstroms
P - Mo 2.51210
C - Mo (axial) 2.05774
C - Mo (equitorial) 2.01172
P - Cl 2.24003
C - O (axial) 1.17566
C - O (equitorial) 1.17313
Trans-Isomer
Bond Length/ Angstroms
P - Mo 2.44483
P - Cl 2.24148
C - Mo 2.06011
C - O 1.17220

The bond lengths in the cis isomer were generally longer than trans isomer so as to minimise steric repulsion. The bond angle between P-Mo-P in the trans isomer is 177.475o , showing a slight deviation from ideal structure. In the cis isomer, axial bond lengths are slightly longer than equatorial bond lengths due to higher electronic density on the equatorial plane, causing axial bonds to lengthen a little to relieve electronic repulsion between bonds. The bond angle between P-Mo-P in the cis isomer is 94.152o, hinting a great steric repulsion between adjacent Cl atoms of the PCl3 group.

Vibrational analysis


IR spectrum of trans isomer


IR spectrum of cis isomer


Trans Isomer
Vibrational mode Frequency/ cm-1 Intensity Animation
42 2358.94 1229.5456
43 2359.32 1251.4644
44 2383.27 22.1883
45 2427.24 1.1796
Cis Isomer
Vibrational mode Frequency/ cm-1 Intensity Animation
41 621.93 178.7990
42 2359.61 1292.7064
43 2367.49 632.1141
44 2372.73 505.9990

The four main vibrational modes in both isomers represent carbonyl and PCl3 vibrations.


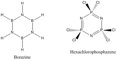
Mini Project: Aromaticity and borazine derivatives or pyridine and other group 15 substituted rings


The project focuses on several properties of two aromatic derivatives from benzene: borazine and its Group 15 substituted ring, hexachlorophosphazene. With the aid of Gaussview and SCAN, their electronic and structural properties can be examined by working out their optimised structures, molecular orbitals as well as vibrational modes.


Optimisation Analysis

The molecules were subjected to optimisation using the DFT/B3LYP method with 6-311G(d,p) as basis set.

borazine optimisation
File Name = newbopt
File Type = .log
Calculation Type = FOPT
Calculation Method = RB3LYP
Basis Set = 6-311G(d,p)
Charge = 0
Spin = Singlet
E(RB3LYP) = -242.70496965 a.u.
RMS Gradient Norm = 0.00007142 a.u.
Imaginary Freq =
Dipole Moment = 0.0021 Debye
Point Group = C1
Job cpu time:  0 days  0 hours 5 minutes 48.3 seconds.
hexachlorophosphazene optimisation
File Name = newhcpopt
File Type = .log
Calculation Type = FOPT
Calculation Method = RB3LYP
Basis Set = 6-311G(d,p)
Charge = 0
Spin = Singlet
E(RB3LYP) = -3949.61567589 a.u.
RMS Gradient Norm = 0.00003326 a.u.
Imaginary Freq =
Dipole Moment = 0.0026 Debye
Point Group = C1
Job cpu time:  0 days  0 hours 38 minutes  12.1 seconds.
Optimised Molecule DOI
DOI:10042/to-12078
DOI:10042/to-12079

Borazine bond lengths

Bond Bond Length/Å
B-N 1.42980
B-H 1.19230
N-H 1.00863

Hexachlorophosphazene bond lengths

Bond Bond Length/Å
P-N 1.59478
P-Cl 2.03782

Borazine angle

Bond Bond Angle/o
N-B-N 117.085
B-N-B 122.914
H-B-N 121.453
H-N-B 115.538

Hexachlorophosphazene angle

Bond Bond Angle/o
N-P-N 116.871
P-N-P 123.146
Cl-P-Cl 102.298

Gaussian calculated the aromatic rings to be planar (hexachlorophosphazene has protruding Cl-P-Cl bonds in and out of the phosphazene plane). The dipole moments of both molecules should have been zero since they are symmetrical. Gaussian also stated the point groups of borazine and hexachlorophosphazene to be C1, however, in actuality, they are both D3H.

Molecular Orbital Analysis

The molecular orbitals of borazine and hexachlorophosphazene were calculated using DFT/B3LYP with 6-311 d,p as basis set. (Borazine DOI:10042/to-12080  ; Hexachlorophosphazene DOI:10042/to-12081 ).

Molecular Orbital Borazine Hexachlorophosphazene
LUMO+2
LUMO+1
LUMO
HOMO
HOMO-1
HOMO-2

Energy levels/kJmol-1

Borazine Hexachlorophosphazene

Borazine MO analysis

Borazine may be iso-electronic with benzene, however their chemical properties differ greatly. The electron densities along the boron-nitrogen p bonds are not distributed evenly, due to the difference in electro-negativities between the two types of atoms. N is more electronegative than B. Also, the HOMO-LUMO gap is larger in borazine than benzene. Therefore, the molecular orbitals of borazine may appear lumpy in comparison to benzene, which has a smoother surface and greater degree of delocalisation in the pi system. In terms of reactivity, the polar nature of B-N bond makes borazine prone to addition reactions and therefore less stable than benzene.

Hexachlorophosphazene MO analysis

The pi-system in hexachlorophosphazene is formed via pπ(N)-dπ(P) bond while in borazine, bonding is due to pπ(N)-pπ(B). Nitrogen atoms are sp2 hybridised while phosphorus atoms are sp3 hybridised. In other words, the bonding in hexachlorophosphazene can also be described in terms of overlap between non-bonding (lone pair) of an sp2 on Nitrogen and suitable d orbitals on Phosphorus. The overlapping however may not be efficient since phosphorus is a third period element; its orbitals are larger and more diffused. Each phosphorus atom is also bonded to two other chlorine atoms; causing electron density to shift towards the chlorine atoms.


Charge distribution/ NBO analysis


Charge Distribution

Borazine Hexachlorophosphazene

Borazine

Summary of Natural Population Analysis:                 
                                                         
                                       Natural Population
                Natural  -----------------------------------------------
    Atom  No    Charge         Core      Valence    Rydberg      Total
 -----------------------------------------------------------------------
      H    1   -0.09002      0.00000     1.08865    0.00137     1.09002
      H    2    0.39532      0.00000     0.60182    0.00286     0.60468
      H    3   -0.09002      0.00000     1.08865    0.00137     1.09002
      H    4    0.39532      0.00000     0.60182    0.00286     0.60468
      H    5   -0.09003      0.00000     1.08866    0.00137     1.09003
      H    6    0.39533      0.00000     0.60181    0.00286     0.60467
      B    7    0.74007      1.99919     2.24342    0.01732     4.25993
      B    8    0.74003      1.99919     2.24346    0.01733     4.25997
      B    9    0.74002      1.99919     2.24347    0.01733     4.25998
      N   10   -1.04535      1.99934     6.04063    0.00537     8.04535
      N   11   -1.04534      1.99934     6.04062    0.00537     8.04534
      N   12   -1.04535      1.99934     6.04063    0.00537     8.04535
 =======================================================================
   * Total *    0.00000     11.99559    29.92364    0.08077    42.00000
 Low frequencies ---    0.0005    0.0005    0.0006    9.1638   10.6639   13.3170
 Low frequencies ---  290.0947  290.9810  409.1969
 Harmonic frequencies (cm**-1), IR intensities (KM/Mole), Raman scattering
 activities (A**4/AMU), depolarization ratios for plane and unpolarized
 incident light, reduced masses (AMU), force constants (mDyne/A),
 and normal coordinates:
                     1                      2                      3
                     A                      A                      A
 Frequencies --   290.0945               290.9800               409.1969
 Red. masses --     2.8932                 2.8982                 1.9058
 Frc consts  --     0.1435                 0.1446                 0.1880
 IR Inten    --     0.0002                 0.0005                24.4178
  Atom  AN      X      Y      Z        X      Y      Z        X      Y      Z
     1   1     0.00   0.00  -0.19     0.00   0.00   0.66     0.00   0.00   0.53
     2   1     0.00   0.00  -0.19     0.00   0.00  -0.20     0.00   0.00   0.16
     3   1     0.00   0.00   0.67     0.00   0.00  -0.17     0.00   0.00   0.53
     4   1     0.00   0.00  -0.08     0.00   0.00   0.27     0.00   0.00   0.16
     5   1     0.00   0.00  -0.48     0.00   0.00  -0.50     0.00   0.00   0.53
     6   1     0.00   0.00   0.27     0.00   0.00  -0.07     0.00   0.00   0.16
     7   5     0.00   0.00  -0.16     0.00   0.00  -0.16     0.00   0.00   0.10
     8   5     0.00   0.00   0.22     0.00   0.00  -0.05     0.00   0.00   0.10
     9   5     0.00   0.00  -0.06     0.00   0.00   0.22     0.00   0.00   0.10
    10   7     0.00   0.00  -0.07     0.00   0.00   0.23     0.00   0.00  -0.12
    11   7     0.00   0.00  -0.17     0.00   0.00  -0.17     0.00   0.00  -0.13
    12   7     0.00   0.00   0.23     0.00   0.00  -0.06     0.00   0.00  -0.13
(Occupancy)   Bond orbital/ Coefficients/ Hybrids
 ---------------------------------------------------------------------------------
     1. (1.98377) BD ( 1) H   1 - B   9 
                ( 54.77%)   0.7401* H   1 s( 99.92%)p 0.00(  0.08%)
                                            0.9996  0.0002 -0.0001  0.0190  0.0207
                                            0.0000
                ( 45.23%)   0.6725* B   9 s( 36.64%)p 1.73( 63.32%)d 0.00(  0.04%)
                                           -0.0007  0.6047 -0.0281 -0.0001 -0.5369
                                            0.0213  0.0003 -0.5865  0.0232  0.0004
                                            0.0000  0.0000  0.0000  0.0153  0.0000
                                            0.0000 -0.0014 -0.0110
     2. (1.98563) BD ( 1) H   2 - N  11 
                ( 29.86%)   0.5465* H   2 s( 99.94%)p 0.00(  0.06%)
                                           -0.9997 -0.0024 -0.0029  0.0076 -0.0239
                                            0.0000
                ( 70.14%)   0.8375* N  11 s( 22.10%)p 3.52( 77.85%)d 0.00(  0.05%)
                                            0.0003 -0.4699 -0.0127 -0.0001 -0.2657
                                           -0.0029 -0.0002  0.8413  0.0093  0.0005
                                            0.0000  0.0000  0.0000  0.0102  0.0000
                                            0.0000  0.0145  0.0119
     7. (1.98549) BD ( 1) B   7 - N  10 
                ( 24.26%)   0.4926* B   7 s( 31.72%)p 2.15( 68.15%)d 0.00(  0.14%)
                                            0.0001 -0.5623 -0.0310 -0.0011 -0.7996
                                           -0.0592  0.0069  0.1948 -0.0200 -0.0118

                                            0.0000  0.0000  0.0000  0.0152  0.0000
                                            0.0000 -0.0240  0.0236
                ( 75.74%)   0.8703* N  10 s( 38.90%)p 1.57( 61.07%)d 0.00(  0.03%)
                                            0.0001 -0.6237  0.0045  0.0000  0.7459
                                           -0.0107  0.0000 -0.2323 -0.0170  0.0000
                                            0.0000  0.0000  0.0000  0.0061  0.0000
                                            0.0000 -0.0117  0.0117

Both B and N showed sp2 hybridised characteristics.


Hexachlorophosphazene

Summary of Natural Population Analysis:                 
                                                         
                                       Natural Population
                Natural  -----------------------------------------------
    Atom  No    Charge         Core      Valence    Rydberg      Total
 -----------------------------------------------------------------------
      P    1    1.79597      9.99722     3.06224    0.14457    13.20403
      P    2    1.79597      9.99722     3.06223    0.14458    13.20403
      P    3    1.79594      9.99722     3.06227    0.14457    13.20406
     Cl    4   -0.19468      9.99972     7.18147    0.01349    17.19468
     Cl    5   -0.19467      9.99972     7.18145    0.01349    17.19467
     Cl    6   -0.19466      9.99972     7.18145    0.01349    17.19466
     Cl    7   -0.19473      9.99972     7.18152    0.01349    17.19473
     Cl    8   -0.19469      9.99972     7.18147    0.01349    17.19469
     Cl    9   -0.19472      9.99972     7.18151    0.01349    17.19472
      N   10   -1.40659      1.99924     6.39148    0.01586     8.40659
      N   11   -1.40653      1.99924     6.39142    0.01586     8.40653
      N   12   -1.40661      1.99924     6.39150    0.01586     8.40661
 =======================================================================
   * Total *    0.00000     95.98774    71.45002    0.56223   168.00000
Low frequencies ---   -5.6811   -4.7168   -2.7366    0.0033    0.0047    0.0049
 Low frequencies ---   35.6850   36.6647   37.4110
 Harmonic frequencies (cm**-1), IR intensities (KM/Mole), Raman scattering
 activities (A**4/AMU), depolarization ratios for plane and unpolarized
 incident light, reduced masses (AMU), force constants (mDyne/A),
 and normal coordinates:
                     1                      2                      3
                     A                      A                      A
 Frequencies --    35.6608                36.6531                37.3885
 Red. masses --    29.2414                29.0029                29.0599
 Frc consts  --     0.0219                 0.0230                 0.0239
 IR Inten    --     0.0030                 0.1686                 0.1483
  Atom  AN      X      Y      Z        X      Y      Z        X      Y      Z
     1  15     0.00   0.00  -0.05     0.00   0.00  -0.14     0.00   0.00  -0.05
     2  15     0.00   0.00   0.06     0.00   0.00  -0.11     0.00   0.00  -0.10
     3  15     0.00   0.00  -0.05     0.00   0.00  -0.06     0.00   0.00  -0.14
     4  17     0.34  -0.17   0.08     0.17   0.35   0.17     0.11  -0.06  -0.01
     5  17    -0.34   0.17   0.08    -0.17  -0.35   0.17    -0.11   0.06  -0.01
     6  17     0.26   0.27   0.09     0.11   0.08   0.00     0.28  -0.28   0.17
     7  17    -0.26  -0.27   0.09    -0.11  -0.08   0.00    -0.28   0.28   0.17
     8  17    -0.03   0.21  -0.13    -0.22  -0.28   0.10     0.33  -0.17   0.10
     9  17     0.03  -0.21  -0.13     0.22   0.28   0.10    -0.33   0.17   0.10
    10   7     0.00   0.00  -0.45     0.00   0.00  -0.20     0.00   0.00  -0.18
    11   7     0.00   0.00   0.18     0.00   0.00   0.01     0.00   0.00  -0.49
    12   7     0.00   0.00   0.19     0.00   0.00  -0.49     0.00   0.00   0.04
(Occupancy)   Bond orbital/ Coefficients/ Hybrids
 ---------------------------------------------------------------------------------
3. (1.97624) BD ( 1) P   1 - N  10 
                ( 29.59%)   0.5439* P   1 s( 29.73%)p 2.31( 68.78%)d 0.05(  1.49%)
                                            0.0000 -0.0001 -0.5451 -0.0138  0.0015
                                           -0.0001 -0.0003 -0.7911 -0.0251 -0.0142
                                            0.0038  0.0002  0.2441  0.0387  0.0085
                                           -0.0013  0.0000  0.0004  0.0000  0.0000
                                            0.0000  0.0546  0.0001  0.0000 -0.0934
                                            0.0563
                ( 70.41%)   0.8391* N  10 s( 35.62%)p 1.81( 64.33%)d 0.00(  0.05%)
                                            0.0005 -0.5968  0.0058  0.0004  0.7633
                                            0.0097  0.0052 -0.2459  0.0061  0.0022
                                           -0.0004  0.0000  0.0000  0.0185  0.0000
                                            0.0000 -0.0062  0.0129
5. (1.81615) BD ( 2) P   1 - N  12 
                (  7.54%)   0.2745* P   1 s(  0.00%)p 1.00( 58.60%)d 0.71( 41.40%)
                                            0.0000  0.0000  0.0000  0.0000  0.0000
                                            0.0000  0.0000  0.0004  0.0000  0.0000
                                            0.0000  0.0000 -0.0002  0.0000  0.0000
                                            0.0000  0.0014  0.7450 -0.0918  0.1502
                                            0.0027  0.0002  0.1742  0.6194  0.0002
                                            0.0002
                ( 92.46%)   0.9616* N  12 s(  0.00%)p 1.00( 99.90%)d 0.00(  0.10%)
                                            0.0000  0.0001  0.0000  0.0000  0.0005
                                            0.0000  0.0000 -0.0002  0.0000  0.0000
                                            0.9995 -0.0015 -0.0038  0.0000  0.0290
                                           -0.0114  0.0000  0.0000

The states of hybridisation in hexachlorophosphazene was mixed. First, Nitrogen showed sp2 hybridised characteristics (s(35.62%),p(64.33%)). Same goes for phosphorus (s(29.73%), p(68.78%)). Then nitrogen displayed a p-orbital (p(99.9%)) while the phosphorus showed a p-d orbital (p(58.60%),d(41.40%)). As a conclusion, P-N bonding is more complex than C-C (in benzene) or B-N (in borazine) due to d-orbitals in phosphorus. This allows the molecule to form bonds with greater flexibility in hybridisation, and can ultimately stabilise the molecule.

Vibrational analysis

The main focus is on major peaks found in the Infrared spectrum of each molecule respectively. (Borazine DOI:10042/to-12083  ; Hexachlorophosphazene DOI:10042/to-12084 ).


Borazine

IR spectrum of borazine

Vibrational mode Frequency/cm-1 Intensity Animation Symmetry Point Group
3 409.20 24.4178 a2"
8 731.42 55.0096 a2"
12 936.13 206.4862 a2"
23 1484.29 478.7627 e'
24 1484.53 478.8746 e'
25 2609.25 295.2443 e'
26 2609.58 295.1188 e'

Hexachlorophosphazene

IR spectrum of hexachlorophosphazene

Vibrational mode Frequency/cm-1 Intensity Animation Symmetry Point Group
19 505.61 359.0475 Animate e'
20 505.93 359.0075 Animate e'
23 607.14 666.4233 Animate a2"
29 1224.74 1334.0027 Animate e'
30 1224.97 1334.7555 Animate e'

Analysis

Coincidently, both borazine and hexachlorophosphazene contain 12 atoms; therefore the total number of vibrational modes = 3N-6 = 3(12)-6 = 30. Borazine has more vibrations with high intensities than hexachlorophosphazene. Generally, the frequencies of vibrations for hexachlorophosphazene are lower than borazine due to presence of heavier atoms like phosphorus and chlorine.

Conclusion

The mini project can be further studied by investigating other inorganic four membered rings i.e. disulfur dinitride (a precursor of a low temperature superconductor, polythiazyl[3]) or other isoelectronic derivatives of borazine[4] and phosphazene[5]. The isoelectronic nature of benzene and borazine have been rationalised through optimisation, molecular and vibrational analyses. However, hexachlorophosphazene can be modified and studied again i.e. substituting Cl atoms with other halogens or R=alkyl or aryl groups to gain a better understanding on its bonding and hybridisation. Overall, the project achieved its requirements.

References

  1. M.S. Schuurman, W.D. Allen, H.F. Schaefer III, "The ab initio limit quartic force field of BH3", J. Comp. Chem., 2005, 26 (11), 1106-1112DOI:10.1002/jcc.20238
  2. M. Atanasov, D. Reinen, J. Phys. Chem. A, 2001, 105 (22), 5467 DOI:10.1021/jp004511j
  3. Chem. Rev., 1979, 79 (1), pp 1–15DOI:10.1021/cr60317a002
  4. J. Am. Chem. Soc., 1958, 80 (17), pp 4515–4517DOI:10.1021/ja01550a020
  5. M. J. S. Dewar, P. A. Marr, "A Derivative of Borazarene", J. Am. Chem. Soc., 1962, 84, 3782DOI:10.1021/ja00878a045