Jump to content

Rep:Mod:Zhou1c

From ChemWiki

Part 1

The Hydrogenation of Cyclopentadiene Dimer

Dimerisation of cyclopentadiene
Hydrogenation of Cyclopentadiene Dimer
Exo dimer
Endo dimer
Hydrogenation 1
Hydrogenation 2
Calculation of geometries Exo dimer Endo dimer Hydrogenation 1 Hydrogenation 2
Total bond stretching energy (kcal/mol) 3.55458 3.46867 3.29230 2.81802
Total angle bending energy (kcal/mol) 30.88543 33.18206 31.34021 24.71764
Total stretch bending energy (kcal/mol) -2.04552 -2.08263 -2.03250 -1.65474
Total torsional energy (kcal/mol) -2.87356 -2.95359 -0.50042 -0.35570
Total out-of-plane bending energy (kcal/mol) 0.01619 0.02198 0.01622 0.00036
Total van der Waals enery (kcal/mol) 12.92500 12.36446 13.73285 10.59251
Total electrostatic energy (kcal/mol) 13.01489 14.19038 5.11908 5.14732
Total energy (kcal/mol) 55.47701 58.19134 50.96772 41.26541

According to the data calculated from Avogadro, the endo dimer is slightly higher in total energy than the exo dimer, which means the exo dimer is more thermodynamically stable. Thus the endo dimer is kinetic product while the exo dimer is the thermodynamic product. While the dimerisation of cyclopentadiene specifically produce the endo dimer, this reaction is kinetically controlled. The main contribution of energy difference comes from the angle bending term. While the endo dimer is more "twisted" in the structure, this result should be expected.

While the endo dimer can be hydrogenated on double bonds either in the five-membered ring or in the six-membered ring, the product of the second type hydrogenation is lower in total energy than the first type hydrogenation, which is true because the hydrogenation in the norbornene is five times faster than the hydrogenation in the cyclopentane ring. The main energy difference comes from total angle bending energy and total Van der Waals energy, which means the type 2 hydrogenation has less ring strain and less readily to react.

Astroisomerism in an Intermediate related to the Synthesis of Taxol

Intermediates related to the synthesis of Taxol
Intermediate 1
Intermediate 2
Calculation of geometries Intermediate 1 Intermediate 2
Total bond stretching energy (kcal/mol) 7.63860 7.92531
Total angle bending energy (kcal/mol) 28.26560 17.19358
Total stretch bending energy (kcal/mol) -0.088862 -0.17182
Total torsional energy (kcal/mol) 0.42140 2.09931
Total out-of-plane bending energy (kcal/mol) 0.97902 0.79894
Total van der Waals enery (kcal/mol) 33.04442 34.41399
Total electrostatic energy (kcal/mol) 0.30846 -0.08004
Total energy (kcal/mol) 70.56889 62.17927

The optimisation of the 2 possible intermediates realted to the synthesis of Taxol is examed here. As the stereochemistry of carbonyl addition depends on which isomer is most stable, we can see clearly that the molecule with oxygen "pointing down" is lower in energy. The energy difference mainly comes from the angle bending energy. As we can see from the optimised molecule, intermediate 1 is more "twisted" in shape while intermediate 2 tends to be more "relaxed".

As for the reactivity of the double bond in both intermediates, both molecules tend to react slowly.[1] This might be accounted by "hyperstability". The bridgehead double bond is part of a largy polycyclic system and makes the molecule less in torsinal strain than the parent hydrocarbon, which makes the intermediate more stable and unusually unreactive.

Spectroscopic Simulation using Quantum Mechanics

Molecule 17, optimized structure on the left
Optimized structure of molecule 17




NMR of Molecule 17
NMR Calculated NMR summary Literature value
1H NMR
4.84 (dd, J = 7.2,4.7 Hz, 1 H) ,3.40-3.10 (m ,4H), 2.99 ( dd, J = 6.8, 5.2 Hz, 1 H), 2.80-1.35 (series of m, 14 H), 1.38 (s, 3 H), 1.25 (s, 3 H), 1.10 (s, 3 H), 1.00-0.80 (m, 1 H)[2]
13C NMR
218.79, 144.63, 125.33, 72.88, 56.19, 52.52,48.50, 46.80, 45.76, 39.80,38.81, 35.85, 32.66, 28.79, 28.29, 26.88, 25.66, 23.86, 20.96, 18.71[2]
Literature value and calculated value comparison
In the 1H NMR data, the data matched quite well at most values. However,

it should be noted that in the literature, several multiplets are reported as ranges. The plot of literature values is actually even distributed among those ranges, which is an auumption that I made. This assumption cannot reflect the true picture of multiplets, so more appropriate analysis should be done here. Also the hydrogen with the highest chemical shift seems to be different from the literature value. || In the 13C NMR data, the data also match quite well as all those carbons were separately reported.

Vibrational analysis of molecule 17
Molecule 17
Zero-point correction (kcal/mol) 0.466600
Thermal correction to Energy (kcal/mol) 0.488551
Thermal correction to Enthalpy (kcal/mol) 0.489495
Thermal correction to Gibbs Free Energy (kcal/mol) 0.418950
Sum of electronic and zero-point Energies (kcal/mol) -1651.320095
Sum of electronic and thermal Energies (kcal/mol) -1651.298144
Sum of electronic and thermal Enthalpies (kcal/mol) -1651.297200
Sum of electronic and thermal Free Energies (kcal/mol) -1651.367745

Part 2

Analysis of the properties of the synthesised alkene epoxides

Shi catalyst epoxidation Jacobsen catalyst epoxidation
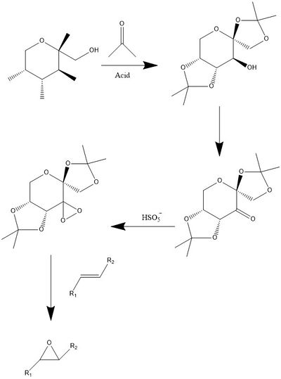
Shi catalyst epoxidation[3]
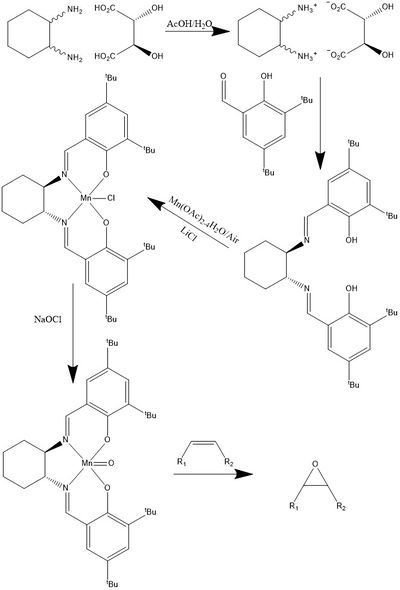
Jacobsen catalyst epoxidation[4][5]

The calculated NMR properties of styrene oxide and trans-stilbene oxide

R-styrene oxide S-styrene oxide R,R-trans-stilbene oxide S,S-trans-stilbene oxide
R-styrene oxide
S- styrene oxide
R,R-trans-stilbene oxide
S,S-trans-stilbene oxide
Styrene oxide
1H NMR 13C NMR
NMR
Calculated value


Trans-stilbene oxide
1H NMR 13C NMR
NMR
Calculated value

The Assignment of the Absolute Configurations for Products

Literature values for optical properties of styrene oxide and tran-stilbene oxide
S-styrene oxide R-styrene oxide S,S-trans-stilbene oxides R,R-trans-stilbene oxides
Concentrantion (g/100ml) 0.48 0.73 0.56 0.73
Enantiometric excess (%) 99 99 89 97
Solvent CHCl3 C6H6 CHCl3 CHCl3
Optical rotation (degree) 26.1 5.05 -205.2 334.6
Wavelength (nm) 589 589 589 589
Tamperature (Celcius) 23 21 20 25

[6]

Using the (calculated ) properties of transition state for the reaction

Transition states of Shi epoxidation of styrene
R-series S-series
Free energies of 1 (Hartrees) (kcal/mol) -982.14783927 -982.14789044
Free energies of 2 (Hartrees) (kcal/mol) -982.14859930 -982.14864902
Free energies of 3 (Hartrees) (kcal/mol) -982.17393930 -982.17393893
Free energies of 4 (Hartrees) (kcal/mol) -982.17584930 -982.17459954
Average ΔG(Hartrees) (kcal/mol) 982.15947383 982.15442342
Free energy difference (RR-SS)(Hartrees) (kcal/mol) -0.0049483993020384833
K 76.4
Relative population (%) 99.7 0.3
Enantiomeric excess (%) 99.4


Transition states of Jacobsen epoxidation of styrene
R,R-trans-stilbene oxide S,S-trans-stilbene oxide
Free Energies of 1 (Hartrees) (kcal/mol) -2067.89483203 -2067.89543828
Free Energies of 2 (Hartrees) (kcal/mol) -2067.89054392 -2067.89954235
Free Energy Difference (RR-SS) (Hartrees) (kcal/mol) -0.00204872595047354353
K 1.2
Relative Population (%) 56.3 43.7
Enantiomeric Excess (%) 12.6
Transition states of Shi epoxidation of trans-stilbene
R,R-trans-stilbene oxide S,S-trans-stilbene oxide
Free energies of 1 (Hartrees) (kcal/mol) -1535.14760552 -1535.14668122
Free energies of 2 (Hartrees) (kcal/mol) -1535.14902029 -1535.14601044
Free energies of 3 (Hartrees) (kcal/mol) -1535.16270178 -1535.15629511
Free energies of 4 (Hartrees) (kcal/mol) -1535.16270154 -1535.15243112
Average ΔG(Hartrees) (kcal/mol) -1535.1555072825 -1535.1503544725
Free energy difference (RR-SS)(Hartrees) (kcal/mol) -0.00515281000002688
K 235.7
Relative population (%) 99.5 0.5
Enantiomeric excess (%) 99.0
Transition states of Shi epoxidation of trans-stilbene
R,R-trans-stilbene oxide S,S-trans-stilbene oxide
Free Energies of 1 (Hartrees) (kcal/mol) -3575.66547138 -3575.66429705
Free Energy Difference (RR-SS) (Hartrees) (kcal/mol) -0.00117432999968514
K 3.5
Relative Population (%) 77.8 22.2
Enantiomeric Excess (%) 55.6

Suggesting new candidates for investigation

Cis R-(+)-pulegone oxide were found to have a optical rotatory power of 853.9o in ethanol at 324 nm.

Cis R-(+)-pulegone oxide


References

  1. W. F. Maier, P. Von Rague Schleyer, J. Am. Chem. Soc., 1981, 103, 1891.DOI:10.1021/ja00398a00 3
  2. 2.0 2.1 L. Paquette, N. A. Pegg, D. Toops, G. D. Maynard, R. D. RogersJ. Am. Chem. Soc. , 1990, 112, 277-283. DOI:10.1021/ja00157a043
  3. O. A. Wong , B. Wang , M-X Zhao and Y. Shi J. Org. Chem., 2009, 74, 335–6338.DOI:10.1021/jo900739q
  4. E. N. Jacobsen , W. Zhang , A. R. Muci ,J. R. Ecker , L. Deng J. Am. Chem. Soc., 1991, 113, 7063–7064. DOI:10.1021/ja00018a068
  5. M. Palucki , N. S. Finney , P. J. Pospisil , M. L. Güler , T. Ishida , and E. N. Jacobsen, J. Am. Chem. Soc., 1998, 120, 948–954. DOI:10.1021/ja973468j
  6. https://www.reaxys.com/reaxys/secured/paging.do?performed=true&action=restore