Jump to content

Rep:Mod:LIUXYLANA1

From ChemWiki

Week 1:

Modelling using Molecular Mechanics

The Hydrogenation of Cyclopentadiene Dimer

At room temperature, cyclopentadiene readily forms dimers which follows a concerted [4+2] cycloaddition mechanism where one of the cyclopentadiene acts as a dienophile and the other cyclopentadiene acts as a alkene, and produce two stereoisomers(1&2), where 1 is the exo-isomer and 2 is the endo-isomer( endo and exo are descriptions of orientations of substituents in transition states).

Exo-isomer Endo-isomer

The reaction mechanism was shown as follow:

Exo-isomer formation mechanism

Endo-isomer formation mechanism

Molecular mechanic MM2 force field calculations are performed to determine the dominant effect(thermodynamic effect vs kinetic effect) in the formation of cyclopentadiene dimer.

Results present as follow:

Relative Energies of Cyclopentadiene dimers calculated by MM2
Energy Terms / kcal mol-1 Exo-isomer Jmol Endo-isomer Jmol Difference in energy (Exo-Endo)
Stretch 1.2852 1.2505 0.0347
Bend 20.5803 20.8482 -0.2679
Stretch-Bend -0.8381 -0.8356 -0.0025
Torsion 7.6552 9.5107 -1.8555
Non-1,4 Vdw -1.4173 -1.5437 0.1264
1,4 Vdw 4.2335 4.3198 -0.0863
Dipole/ Dipole 0.3775 0.4476 -0.0701
Total Energy 31.8765 33.9975 -2.121

MM2 calculation shows that the total energy of endo-isomer is higher than the exo-isomer (by 2.121 kcal mol-1). This means that exo-isomer is more thermodynamically favoured. However, experimentally, more endo product is formed during the reaction at room temperature. This can be rationalised using Frontier Orbital Theory(Woodward and Hoffman[1]). At the transition state, 4 sets of HOMO-LUMO orbital bonding interactions were observed for the endo transition state where as only 2 sets of bonding interactions were found for the exo TS. Hence, the endo TS is lower in energy as compared to the exo TS which essentially means a lower activation barrier.

Endo Transition Stateendo TS Exo Transition Stateexo TS

Hence, the reaction is dominated by kinetic effect(irreversible). However, given the endo isomer is the less stable form of product, provided with enough energy(180-240oC[2]), thermal isomerisation will take place, making exo isomer the leading product.

For both exo and endo dicyclopentadiene, 'Bend' contributes the most to their total energy, indicating a significant difference as compared to the optimum bond angle. The endo-dimer are less sterically favoured(0.2679 kcal mol-1 more than the exo dimer). The difference in torsion of the exo and endo dicyclopentadiene is the largest compare to other differences(1.8555 kcal mol-1), which is majorly contributed by unfavourable interaction of the out pointing part of the bicyclic system and two upwards pointing hydrogens on the same face presented in the endo product.

Hydrogenation of Cyclopentadiene Dimer

Hydrogenation of the endo-dicyclopentadiene result in either dihydro derivatives 3 or 4 and with further hydrogenation, can form the tetrahydro derivative. The hydrogenation is driven by relief of ring strain(sp2 to sp3).

Hydrogenation of Cyclopentadiene Dimer

MM2 calculations are performed in order to investigate the relative stability of 3 and 4.

Results present as follow:

Relative Energies of Dihydro Derivatives 3&4 calculated by MM2
Energy Terms / kcal mol-1 Dihydro Derivatives 3 Jmol Dihydro Derivatives 4 Jmol Difference in energy (Exo-Endo)
Stretch 1.2771 1.0965 0.1806
Bend 19.8664 14.5231 5.3433
Stretch-Bend -0.8346 -0.5494 -0.2852
Torsion 10.8068 12.4977 -1.6909
Non-1,4 Vdw -1.2257 -1.0693 -0.1564
1,4 Vdw 5.6330 4.5128 1.1202
Dipole/ Dipole 0.1621 0.1406 0.0215
Total Energy 35.6850 31.1520 4.533

While similar values of 'stretch','stretch-bend','Non-1,4 Vdw' and 'dipole/dipole' energies were obtained from the calculation, the energy values of 'Bend'(5.3433 kcal mol-1) and 'Van der Waals (VdW)'(1.1202 kcal mol-1) energies of dihydro derivative 4 are considerably lower and the 'torsion'(1.6909 kcal mol-1) energy of dihydro derivative 4 are higher. This could be rationalised by steric interactions and strain. Double bond in the norbornene is slightly longer[3], therefore weaker orbital overlap and hence more easily hydrogenated and produce dihydro derivative 4.

Dihydro derivative 4 is of a lower energy compared to dihydro derivative 3(4.533 kcal mol-1). Therefore, dihydro derivative 4 is more stable, which means it's the thermodynamic product. The kinetic product cannot be found using the given data, further more investigation(e.g. experiment) needed.

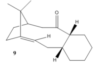
Atropisomerism in an Intermediate related to the Synthesis of Taxol

Taxol Intermediate 9
Taxol Intermediate 10

Atropisomers are stereoisomers with restricted free rotation about a single bond due to steric hinderance.

The key intermediate in the synthesis of Taxol(9&10)are atropisomers, proposed by Elmore and Paquette[4], where the carbonyl group pointing either up or down due to restricted rotation across the ring.

Molecular mechanic (MM2) force field calculations and MMFF94 (a more sophisticated method ) minimisation are run in order to compare the relative stablility of two atropisomers.

Results present as follow:

Relative Energies of Taxol intermediates 9&10 calculated by MM2
Energy Terms / kcal mol-1 Taxol Intermediate 9 Chair Jmol Taxol Intermediate 9 Twist Boat Jmol Taxol Intermediate 10 Chair Jmol Taxol Intermediate Twist Boat Jmol
Stretch 2.7030 2.9473 2.6195 2.9143
Bend 12.6819 17.2053 11.3319 16.8212
Stretch-Bend 0.4468 0.5008 0.3435 0.4399
Torsion 22.2395 21.2900 19.6799 20.2225
Non-1,4 Vdw -1.7339 -1.4159 -2.1625 0.1441
1,4 Vdw 14.2266 14.5071 12.8724 14.3464
Dipole/ Dipole -1.7021 -1.7302 -2.0017 -1.7239
Total Energy 48.8618 53.3044 42.6831 53.1646


Relative Energies of Taxol intermediates 9&10 calculated by MMFF94
Energy Terms / kcal mol-1 Taxol Intermediate 9 Chair Jmol Taxol Intermediate 9 Twist Boat Jmol Taxol Intermediate 10 Chair Jmol Taxol Intermediate Twist Boat Jmol
Total Energy 67.7864 76.3018 60.5534 77.8752


For the same structure drawn(i.e. 9 or 10), two sets of different values are found for each method used. The different in results corresponds to different conformation of cyclohexane: chair and twist-boats, which are local minima(overall minimum for chair), hence stable enough as the result of calculation. Although there are two form of twist-boats presents, they are enantiomers, hence, same level of energy. As a result only two sets of different values are found for each method used.

The chair conformation of Taxol intermediates 10 is the lowest in energy, hence, the thermodynamic product. Compare to other forms the chair conformation of 10 are lower in energy in terms of '1,4 Vdw' and 'Dipole/ Dipole'. In general, chair conformation are favoured as compared to the twist boat conformation(around 5 kcal mol-1 for 9 and 11 kcal mol-1 for 10). This difference in energy are majorly contributed by the 'Bend' energies which result from the more steric interations within the molecule. The total energy of the twist boat conformation does not differ by a large amount in the MM2 calculation(only around 0.14 kcal mol-1).

Same trends as stated above are found with the MMFF94 minimisation.

Taxol intermediates 9 & 10 are also good examples of hyperstable alkene[5] (olefins) which refer to constrained trans-cycloalkene with a minimum 8 carbon in bridgehead structures which contributes to extra stability. Hence, less reactive and less susceptible to hydrogenation.

Modelling Using Semi-empirical Molecular Orbital Theory

Regioselective Addition of Dichlorocarbene

Reaction Scheme of 9-Chloro-1,4,5,8-tetrahydro-4a,8a-methanonaphthalene with naphthalene reported by Rzepa.[6]

Radical Reaction Mechanism

MM2 force field calculation is done in order to have further investigation of the molecule.

Results present as follow:

Relative Energies of 9-Chloro-1,4,5,8-tetrahydro-4a,8a-methanonaphthalene 12
Energy Terms / kcal mol-1 Stretch Bend Stretch-Bend Torsion Non-1,4 Vdw 1,4 VDW Dipole/Dipole Total Energy
MM2 Minimisation Jmol 0.6193 4.7372 0.0401 7.6590 -1.0673 5.7938 0.1123 17.8945
MOPAC PM6 Minimisation Jmol N/A N/A N/A N/A N/A N/A N/A 19.74026

Two structrues are compared and then distance minimisation was performed.

The molecular orbitals (HOMO-1, HOMO, LUMO, LUMO+1, LUMO+2) obtained form PM6 optimization are shown as follow:

The optimisation file is linked to here.

Molecular Orbitals of 9-Chloro-1,4,5,8-tetrahydro-4a,8a-methanonaphthalene Molecular Orbitals of 9-Chloro-1,4,5,8-tetrahydro-4a,8a-methanonaphthalene
MOs HOMO - 1 HOMO LUMO LUMO+1 LUMO+2
PM6 Top View
PM6 Side View

Generally, across the table, less bonding charater, more anti-bonding characters are shown. For HOMO-1, both alkene experience overall bonding interactions. The charge are located on the alkene that's further away from Cl(syn).For HOMO, electron density are mostly located on the C=C that's closer to Cl atom(anti). Therefore, more susceptible to electrophlic attack(dichlorocarbene). The electron density is very widely spreaded in the LUMO orbital, more anti-bonding π*C=C interactions are experienced by the anti alkene as compared to syn. The LUMO+1 MO looks very interesting, with most of the electron density located on the 3 membered ring. For LUMO+2, larger anti-bonding π*C=C interactions is experienced by syn olefin. The syn C=C has a higher frequency than anti C=C. Hence, the syn bond has a higher electron density so will be stronger than the anti C=C and will also be attacked preferentially by an electrophile.

The vibrational spectrum are calculated.

The optimisation file is linked to here

IR Spectrum of 9-Chloro-1,4,5,8-tetrahydro-4a,8a-methanonaphthalene
Some Specific Wave numbers of 9-Chloro-1,4,5,8-tetrahydro-4a,8a-methanonaphthalene
Energy / cm-1 Form of Vibration Frequency
C-Cl stretch xxx 770.86 Lit.[7] 780 (C-Cl stretch)
Syn C=C xxx 1757.37 Lit.[8] 1620-1680 (C=C)
Anti C=C xxx 1737.14
Cyclopropyl-H xxx 3197.06

The IR stretches obtained are consistent to literature values.

Monosaccharide chemistry and the mechanism of glycosidation

The Mechanism of the reaction is shown as follow(R=Me):

Oxenium cation A has 4 conformations as the OAc group can be either axial(A) or equatorial(E) and the rotation of the single bond within the OAc group can be either pointing upwards(U) or downwards(D).

Relative energies of the oxenium cation A&B
Energy Terms / kcal mol-1 A1 (AD) A2 (AU) A3 (ED) A4 (EU) B1 (A) B2 (A') B3 (E) 4B (E')
Stretch 2.9125 2.7554 2.4069 3.0850 2.7142 2.6532 1.9105 1.8497
Bend 11.4947 11.4669 11.16211 10.7596 17.2682 20.2911 16.3899 14.4048
Stretch-Bend 1.0641 0.9675 0.8113 0.9680 0.7708 0.7980 0.7717 0.6029
Torsion 1.3676 5.0044 2.6363 3.1946 8.6777 6.0857 7.5632 7.6644
Non-1,4 Vdw 2.2167 -0.4522 0.3397 3.4660 -2.8583 -2.6475 -1.8394 -5.1289
1,4 Vdw 18.3248 19.4348 20.5779 19.2417 19.6472 18.2643 17.0208 18.5162
Charge/ Dipole -23.6734 -32.4103 -17.9726 -35.3798 3.6003 -2.5387 -12.6039 2.5495
Dipole/ Dipole 7.6739 5.7030 6.1333 7.7854 -1.8142 -1.3013 -1.9107 -0.1652
Total Energy 21.3158Jmol 32.8238Jmol 11.6571Jmol 13.1205Jmol 48.0240Jmol 41.6048Jmol 27.3021Jmol 40.2934Jmol
Mopac/PM6 -91.64874Jmol -77.41071Jmol -77.51018Jmol -88.52854Jmol -66.84383Jmol -67.00369Jmol -90.51309Jmol -90.51317Jmol

Me groups are used as it is the smallest group that can be used which retains the anomeric effect and in the same time reduce time for calculation. MOPAC/PM6 is a more advanced method of calculation which gives a more accurate result. MM2 values are very different to the MOPAC/PM6 values as MM2 method does not give a very accurate result(calculation based on Vdw). MM2 methods are good with calculation of classical cations, but in this case, O cation is present. Inaccurate results given due to the presence of lone pairs.

Beta-anomer is the dominant product of the due to the neighbouring group effect, which corresponds to the energy values.

Week 2:

A practice molecule: Spectroscopy of an intermediate related to the synthesis of Taxol

Taxol Intermediate 18

Results present as follow:

Relative Energies of Taxol Intermediate 18
Energy Terms / kcal mol-1 Stretch Bend Stretch-Bend Torsion Non-1,4 Vdw 1,4 VDW Dipole/Dipole Total Energy
MM2 Minimisation Jmol 5.3606 20.3263 0.8744 22.5050 -0.3106 17.3746 -1.7617 64.3695

The NMR "D-space" file is linked to DOI:10042/22211 (too large,cannot be uploaded)

1H NMR of Taxol Intermediate 18:

13C NMR of Taxol Intermediate 18:

The calculate values for 13C NMR are: 213.025, 150.047, 121.653, 91.1991, 59.3981, 54.405, 49.9417, 49.0343, 46.6216, 41.5174, 39.1675, 34.338, 28.4563, 26.8356, 24.586, 23.2711.This is very similar to literature[9] values.(lit.211.49, 148.72, 120.90, 74.61, 60.53, 51.30, 50.94, 45.53,43.28,40.82, 38.73, 36.78, 35.47, 30.84.30.00, 25.56, 25.35, 22.21, 21.39, 19.83)

The calculate values for 1H NMR are: 6.14703,3.35045,3.31618,3.18734,3.0762, 3.03317, 2.89875, 2.84285, 2.74142, 2.6262, 2.54453, 2.40218, 2.36538, 2.18123,2.13334,1.98819, 1.74833, 1.69709, 1.44999, 1.42475, 1.37768, 1.35973,1.14674, 1.06093, 0.782645.[lit.5.21 (m, 1 H), 3.00-2.70 (m, 6 H), 2.70-2.35(m, 4 H), 2.20-1.70 (m, 6 H), 1.58 (t, J = 5.4 Hz, 1 H), 1.50-1.20 (m,3 H), 1.10 (s, 3 H), 1.07 (s, 3 H), 1.03 (s, 3 H)].

The calculated values for 1H NMR, however, does not correspond to the values that well. The H with the highest calculated chemical shift is 6.14703, whereas in literature, 5.21. This might be caused by interaction with solvents.

Selected Molecule: 2-ethylidene-norbornane (ENBH) E/Z isomers

The reaction[10] proceed as shown:

E/Z-ENBH are formed from acetic acid and can undergo further hydrogenation.

Predicting the 1H and 13C NMR Spectrum of ENBH

The NMR "D-space" file for E-ENBH is linked to DOI:10042/22214 (too large,cannot be uploaded)

The NMR "D-space" file for Z-ENBH is linked to DOI:10042/22215 (too large,cannot be uploaded)


1H NMR of E-ENBH:

13C NMR of E-ENBH:

1H NMR of Z-ENBH:

13C NMR of Z-ENBH:


13C NMR values of E-ENBH:144.159, 111.603, 48.0829, 40.0065, 38.8072,36.9096, 31.6183, 30.4585, 16.6567.(lit.45.2 145.9 35.5 36.5 28.6 29.8 39.1 110.7 13.4)

1H NMR values of E-ENBH:5.7132, 2.69543, 2.40759, 2.31717, 2.04225, 1.79549, 1.72441, 1.70989, 1.592, 1.58642, 1.40575, 1.37886.

13C NMR values of Z-ENBH:143.616, 112.349, 42.759, 40.1223, 38.4838, 31.1401, 30.3445, 17.3252.(lit.39 6 144.9 38.9 36.3 28.4 29.0 38.7 111.5 14.1)

1H NMR values of Z-ENBH:5.47357, 3.09783, ,2.33498, 2.32389, 2.01149, 1.94364, 1.80556, 1.74002, 1.69319, 1.43658, 1.36659.

The calculated 13C NMR mostly corresponds to the literature[11] values, other then the chemical shift for the methyl terminal carbon. E-ENBH: 16.6567(13.4); Z-ENBH: 17.3252(14.1). The large difference compare to other C can be explained as the terminal C are more susceptible to different types of interactions as it is less sterically hindered.

In both isomers, the highest chemical shift in the 1H NMR correspond to the H that is directly linked to the C=C, as it is most deshielded caused by the ring current arise from the C=C. and the second highest chemical shift corresponds to the H that is 1 C away from the C=C(linked to the bridgehead), which also experience a certain degree of deshielding by the ring current from C=C.


Predicting the nJH-H couplings of ENBH

The nJH-H couplings "D-space" file for E-ENBH is linked to DOI:10042/22216 (too large,cannot be uploaded)

The nJH-H couplings "D-space" file for Z-ENBH is linked to DOI:10042/22217 (too large,cannot be uploaded)

Predicting the IR Spectrum of ENBH

IR spectrum of E-ENBH:

Some Specific Wave numbers of E-ENBH
Energy / cm-1 Form of Vibration Frequency
Alkene C=C xxx 1768.19
Methyl-H xxx 3118.20
Alkene-H xxx 3138.99

IR spectrum of Z-ENBH:

Some Specific Wave numbers of Z-ENBH
Energy / cm-1 Form of Vibration Frequency
Alkene C=C xxx 1766.70
Methyl-H xxx 3134.80
Alkene-H xxx 3121.61

Predicting the Optical Rotation (OR) and the Electronic Circular Dichroism (CD/UV-Visible) Spectrum of ENBH

The log file for optical rotation of E-ENBH is linked to here

The log file for optical rotation of Z-ENBH is linked to here

The OR for E-ENBH is: [Alpha] ( 5890.0 A) = 103.40 deg. 67878

The log file for Electronic Circular Dichroism of E-ENBH is linked to here

The log file for Electronic Circular Dichroism of Z-ENBH is linked to here

The UV-VIS spectrum oof E-ENBH is calculated:

The UV-VIS spectrum oof Z-ENBH is calculated:

Comparing to the UV-VIS spectrum of E-ENBH, Z-ENBH's two peaks at around 140nm are not that obvious, a larger overlap is observed.

Density functional MO calculations for ENBH

The fchk file for MO calculations of E-ENBH is linked to here

The fchk file for MO calculations of Z-ENBH is linked to here

Molecular Orbitals of ENBH
MOs E-ENBH HOMO E-ENBH LUMO Z-ENBH HOMO Z-ENBH LUMO
PM6 Top View
PM6 Side View

Generally, for HOMO orbitals, large electron densities are located along the C=C bond, whereas for LUMO, nodal planes are observed across the C=C.

References

1. R. Hoffmann, R. B. Woodward, "Conservation of orbital symmetry", Accounts of Chemical Research, 1968,1, 17-22, DOI:10.1021/ar50001a003

2. J. E. Baldwin, J. Org. Chem., 1966, 31, 244

3. J.J. Zou, X. Zhang, J. Kong, L. Wang, Fuel, 2008, 87, 3655: DOI:10.1016/j.fuel.2008.07.006

4. S. W. Elmore and L. Paquette, Tetrahedron Letters, 1991, 319; DOI:10.1016/S0040-4039(00)92617-0 10.1016/S0040-4039(00)92617-010.1016/S0040-4039(00)92617-0

5. Wilhelm F. Maier, Paul Von Rague Schleyer, J. Am. Chem. Soc., 1981, 103, 1891. DOI: 10.1021/ja00398a003

6. B. Halton, R. Boese and H. S. Rzepa., J. Chem. Soc., Perkin Trans 2, 1992, 447. DOI:10.1039/P299200004477

7. G. Socrates, Infrared and Raman Characteristic Group Frequencies, 3rd Edition, 2001, p. 65.

8. J. Coates, “Interpretation of Infrared Spectra, A Practical Approach", Encyclopedia of Analytical Chemistry, John Wiley & Sons Ltd, Chichester, 2000

9. L. Paquette, N. A. Pegg, D. Toops, G. D. Maynard, R. D. Rogers, J. Am. Chem. Soc.,, 1990, 112, 277-283. DOI:10.1021/ja00157a043

10. R. Winters,†, W. Heinen,†,‡, M. A. L. Verbruggen,§, J. Lugtenburg,†, M. van Duin,‖ and, and H. J. M. de Groot*,†Macromolecules 2002 35(5),1958-1966

11. G. Van der Velden Macromolecules, 1983 16(1),85-89


http://pubs.acs.org/doi/pdf/10.1021/ma00235a017

http://pubs.acs.org/doi/pdf/10.1021/ma001716h