Jump to content

Mod:Hunt Research Group/Jan evaluate flex

From ChemWiki

evaluating charges

editing the script

  • the script we need is esp_fit_and_flex.py
  • copy the script from repESP/scripts into your data directory, we will be editing it
  • we need to know the number ordering of the atoms
in our case the atoms are listed (by looking in the ch3oh_chelpg.esp file)
1 C
2, 3, 4 H (the CH3)
5 O
6 H (the OH)
  • we will also need to manually evaluate equivalences
atoms are now defined in order as a1, a2, a3 with equivalences defined
so C is a1 with no equivalence
in this molecule the H's 2, 3 and 4 are all equivalent so 2:a2 3:a2 4:a2
the remaining atoms are not equivalent 5:a3 6:a4
  • now set some specific items in the script
esp_charge_type = 'mk' or to the MESH type you want to use
alt_esp_charge_type = 'chelpg' or to the alternative charge you want to compare with NOTE this mesh needs to be in the same directory ie ch3oh_chelpg.esp
molecule_name = 'ch3oh' this needs to be the name of the directory where files are stored
vary_label1=1 atom number of atom to have its flexibility evaluated (methyl C in this case)
charge_dict_1D = lambda a1: {1: a1} this C is not equivalent to any other atoms
vary_label2 = 5 atom number of atom to vary along side the first atom to form a 2d graph (hydroxyl O in this case)
charge_dict_2D = lambda a1, a3: {1:a1, 5:a3} and O is not equivalent to any other atoms
labels_to_monitor = [5, 6, 2] we want to see how these other atoms vary as the C charge is altered
xlim1 = (-0.5, 1) axis limits for the primary atom (C) this is a bit hit and miss so you may have to run several times
xlim2 = (-1, 0) axis limits for the secondary atoms (H, O, H)
sampling_num = 10 number of points to sample (start small and then increase, a number about 25 is good)
swap_axes = False will swap axes if true
plot_flexibility = True looks for single atom flexibility
plot_response = True looks to find the response of a second atom (both of these should be true)
  • thus the important bits for this example are
esp_charge_type = 'mk'
alt_esp_charge_type = 'chelpg'
molecule_name = 'ch3oh'

# Parameters to change when changing the molecule
# The first label is the more important atom, for which a 1D scan will be done
vary_label1 = 1
charge_dict_1D = lambda a1: {1: a1}
vary_label2 = 5
charge_dict_2D = lambda a1, a3: {1: a1, 5: a3}
# This shouldn't be more than 5 because that's the max number of colors in plot
labels_to_monitor = [5, 6, 2]
xlim1 = (-0.5, 1)
xlim2 = (-1, 0.5)
sampling_num = 21
swap_axes = False

plot_flexibility = True
plot_response = True
  • if you want to tun off the charge variation figure (see below) and just do the two atom plot then
  • look into the code for this and replace True with False
# ONE CHARGE VARIATION
if True:

running the script

  • to run the script we will use "python3.5 esp_fit_and_flex.py"
this may take some time!
a graph will appear you must manually save it and then close the graph for the code to continue!
  • a new folder esp_fit_xx (where xx=charge method) will be created
the same graph as above will appear as a pdf in this folder
you will find the individual jobs in esp_fit_xx/resp_calcs
[tricia@dyn1242-77]/Users/tricia/bin/repESP/data $ python3.5 esp_fit_and_flex.py &
[1] 15202
[tricia@dyn1242-77]/Users/tricia/bin/repESP/data $ esp_fit.py script

Molecule:              ch3oh
Charge type:           MK
Non-ESP charge type:   NBO
Alt. ESP charge type:  CHELPG 

Running unrestrained RESP to fit ESP with equivalence:

Please check if the following RESP input is what you want:

Atom  1:  C 
Atom  2:  H 
Atom  3:  H , equivalenced to atom 2
Atom  4:  H , equivalenced to atom 2
Atom  5:  O 
Atom  6:  H 

The molecule with MK charges:
 RMS: 0.00208
RRMS: 0.13573
RMSV: 0.01534
Atom  1:  C , charge:  0.1747
Atom  2:  H , charge:  0.0566
Atom  3:  H , charge: -0.0084
Atom  4:  H , charge: -0.0084
Atom  5:  O , charge: -0.6056
Atom  6:  H , charge:  0.3912

The molecule with equivalenced MK charges (unrestrained RESP):
 RMS: 0.00283
RRMS: 0.18461
RMSV: 0.01534
Atom  1:  C , charge:  0.1237
Atom  2:  H , charge:  0.0241
Atom  3:  H , charge:  0.0241
Atom  4:  H , charge:  0.0241
Atom  5:  O , charge: -0.5448
Atom  6:  H , charge:  0.3489

Checking differences between raw and equivalenced charges ...
Atom  1:  C  differs by  0.051
Atom  5:  O  differs by -0.061
  • so the first section generates MK charges
  • then it works out the equivalenced charges
  • and looks at the difference
  • carrying on now ...
The molecule with equivalenced CHELPG charges (unrestrained RESP) evaluated on the MK grid:
 RMS: 0.00284
RRMS: 0.18542
RMSV: 0.01534

Percentage increase over equivalenced MK charges: 0.44 %
Atom  1:  C , charge:  0.1855
Atom  2:  H , charge:  0.0076
Atom  3:  H , charge:  0.0076
Atom  4:  H , charge:  0.0076
Atom  5:  O , charge: -0.5552
Atom  6:  H , charge:  0.3470
  • the secondary charges selection (ChelpG) is now evaluated on the MK grid
  • carrying on some more ...
One-dimensional scan:

Charges on these atoms will be varied:
* Atom  1:  C 
See below for equivalence information of other atoms.
Please check if the following RESP input is what you want:
Atom  1:  C , frozen
Atom  2:  H 
Atom  3:  H , equivalenced to atom 2
Atom  4:  H , equivalenced to atom 2
Atom  5:  O 
Atom  6:  H 

Sampling progress: 100.00 %
Flexibility limits on Atom  1:  C 
  1% limits:  0.02654,  0.22079, diff: 0.19425 (157.1%)
  5% limits: -0.09569,  0.34302, diff: 0.43871 (354.8%)
 10% limits: -0.19032,  0.43765, diff: 0.62796 (507.8%)
 20% limits: -0.33082,  0.57815, diff: 0.90897 (735.0%)
Further limits were beyond the sampled range.

The monitored charges at 10% flexibility limits:
 H2:  0.10642, -0.05831, diff: 0.16473
 O5: -0.47959, -0.60996, diff: 0.13037
 H6:  0.35064,  0.34725, diff: 0.00339
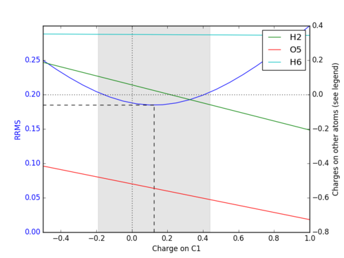
  • this information relates to the graph produced
  • example of the on-screen output for the first graph as shown

example of plot for the flexibility of C in CH3OH

  • left axis, is for the blue line and the dashed line
for the primary atom (C in ch3oh in this case)
dashed line gives minimum, minimum gives best fit to esp (+0.1855)
flexibility limits are given as text on screen
and the area greyed out is for a 10% variation in ESP
this means the charge can be varied between these values with only a 10% degradation in the ESP or RRMS??
  • right axis, is for the lightly dotted line, all other colours, and relates to the legend
vertical line lightly dotted line shows zero charge
horizontal lightly dotted relates to right axis where charges on other atoms are zero
for example the green line is for H2, as the C becomes more positive the charge on H2 goes down
at some point the H2 charge crosses the zero charge lightly dotted line, ie becomes negative
at the min C charge H2 is just above zero
  • the data files re in esp_fit_xx/resp_calcs in individual directories
for example in our case the directories relate to varying the C atom charge
each directory contains the run for a specific charge say +0.025 (a point on the blue line of the graph)
reading the "punch" file gives relevant information (see below)
the -1 under IVARY indicates that C is frozen at a charge of +0.025
all other charges are then fitted taking into account equivalence
for example the oxygen takes on the value of -0.52 which can be seen in the red line of the graph
Resp charges for organic molecule                                               

iqopt   irstrnt  ihfree     qwt
  2     -1      1        0.000000

 rel.rms   dipole mom       Qxx      Qyy      Qzz
    0.18651   1.80453   1.49350   0.63919  -2.13269

          Point charges before & after optimization
    NO   At.No.    q0           q(opt)   IVARY  d(rstr)/dq 
     1     6   0.025000       0.025000   -1    0.000000
     2     1  42.000000       0.049939    0    0.000000
     3     1  42.000000       0.049939    2    0.000000
     4     1  42.000000       0.049939    2    0.000000
     5     8  42.000000      -0.524291    0    0.000000
     6     1  42.000000       0.349474    0    0.000000

        Statistics of the fitting:
  The initial sum of squares (ssvpot)                      0.099
  The residual sum of squares (chipot)                     0.003
  The std err of estimate (sqrt(chipot/N))               0.00286
  ESP relative RMS (SQRT(chipot/ssvpot))                 0.18651

 Dipole Moment (Debye)=   1.80453

evaluating the esp fit flexibility for two atoms

  • this section takes much longer as there is more to compute
  • the graph looks like this
the cross in the center marks the MK charges in this case
the plus marks the fitted ChelpG charge
the filled circle is the NBO (NPA) charges
the filled diamond is the point on the ESP surface with the same ratio as the NBO charges

File:Ch3oh mk 2D.pdf

  • example of the on-screen output for the second graph as shown
Two-dimensional scan:

Charges on these atoms will be varied:
* Atom  1:  C 
* Atom  5:  O 

See below for equivalence information of other atoms.

Please check if the following RESP input is what you want:

Atom  1:  C , frozen
Atom  2:  H 
Atom  3:  H , equivalenced to atom 2
Atom  4:  H , equivalenced to atom 2
Atom  5:  O , frozen
Atom  6:  H 

Meshgrid progress: 100.00 %
Scanning roughly various ratios. This shouldn't take long.

Please check if the following RESP input is what you want:

Atom  1:  C , frozen
Atom  2:  H 
Atom  3:  H , equivalenced to atom 2
Atom  4:  H , equivalenced to atom 2
Atom  5:  O , frozen
Atom  6:  H 

Starting minimization of charge ratio.

FOUND optimal heavy ratio: 0.6904 with RRMS of 0.196694

Number of charges sampled along each axis: 21
Reporting contour surface areas:
  1% contour area: 0.00025
  5% contour area: 0.00470
 10% contour area: 0.02172
 20% contour area: 0.07508
 30% contour area: 0.12503
 50% contour area: 0.23843
100% contour area: 0.04076
  • the data files are in esp_fit_xx/resp_calcs in individual directories
for example in our case the directories relate to varying the C and O atom charges
each directory contains the run for a specific C and O charge say C +0.025 and O -0.50
the directory is called "C1+0.025-O5-0.050"
reading the "punch" file gives relevant information (see below)
the -1 under IVARY indicates that both the C and O are frozen at a charges of +0.025 and -0.50 respectively
all other charges are then fitted taking into account equivalence
Resp charges for organic molecule                                               

iqopt   irstrnt  ihfree     qwt
  2     -1      1        0.000000

 rel.rms   dipole mom       Qxx      Qyy      Qzz
    0.91587   0.18780   0.06899   0.05393  -0.12291

          Point charges before & after optimization
    NO   At.No.    q0           q(opt)   IVARY  d(rstr)/dq 
     1     6   0.025000       0.025000   -1    0.000000
     2     1  42.000000       0.000804    0    0.000000
     3     1  42.000000       0.000804    2    0.000000
     4     1  42.000000       0.000804    2    0.000000
     5     8  -0.050000      -0.050000   -1    0.000000
     6     1  42.000000       0.022587    0    0.000000

        Statistics of the fitting:
  The initial sum of squares (ssvpot)                      0.099
  The residual sum of squares (chipot)                     0.083
  The std err of estimate (sqrt(chipot/N))               0.01405
  ESP relative RMS (SQRT(chipot/ssvpot))                 0.91587

 Dipole Moment (Debye)=   0.18780