Jump to content

It:coursework

From ChemWiki

Back to lectures|Back to introduction


Overall Laboratory Objectives

The Computer lab is ( formally booked for your group, A1, A2, B1, B2) for your course work and you have priority over other users at these times. You are of course free to use the computers outside these times for course work, but on a first-come-first served basis and only if another course is not running. You can also use the computers located in the study area and you have access to 24 hour opening in the central library, although you may find not all of the chemistry-related programs will be available there. During the lab time allocated for the IT course (two sessions in one week for each group, and one final session), you will be expected to achieve the following objectives:

  1. Accessing course and laboratory notes and using scientific journals to support lectures
  2. Using Word in combination with the EndNote bibliographic database and ChemDraw to write laboratory reports and essays
  3. Various bibliographic chemistry search systems
  4. Various molecular structure based search systems
  5. Applying these searches to the requirements of a laboratory course

You should of course appreciate that the distinction between lectures and labs is rather artificial, and any database which you might use for one is certainly useful for the other as well.

Software Familiarity

The first session in the first week is reserved for computer familiarity exercises. Start by checking that your login works. Next, you will use some chemistry specific programs you might not have come across before. There will be demonstrators available to show you how to do this and answer your questions. Do please ask them if you dont know what to do next, or are just confused by it all! And remember: Computers crash and do odd things. IT, at least in part, is the process of learning how to cope with this!

  • Start Firefox
    Start the FireFox web browser using the icon on the desktop. [Why not Internet Explorer (IE)? Well, it handles some of the chemical stuff more delicately than Firefox, and we find it a tad more reliable]. You will discover another "home"
    Firefox home
    . This means "the Web page designated as the starting point for Web navigation in the College/Department", in other words a quite different meaning to the previous home! Open the Web URL http://www.ch.ic.ac.uk/wiki/ It should be listed in the Bookmarks menu and in the tabbed menu along the top of the browser window. [Of course, this instruction might strike you as pointless, since if you are reading this, you will have already opened up a browser at this page!].
  • You will be using Firefox to browse the pages of a Wiki. There is only one suggestion for browsing these pages that you might wish to follow. When encountering a hyperlink, as in the preceding link describing what a Wiki is, you will probably want to open it in a separate window or tab from the instruction page (so that you can refer to both if the need arises). If you just click the link, it will replace the instruction window. So, get used to clicking on the link with the right mouse button rather than the left one. This will then give you the option of opening the link in either a new window or a new tab of the current window.

Lecture Support: Blackboard Familiarity

Most of the notes for the lectures courses are available via the Campus Blackboard system. You should use this to check that can can find the notes for the lecture courses you are currently attending. It should be self-documenting, and hence the detail of its use is not documented here.

Computer, Browser, Word Processor familiarity

  • login window
    Log-in. There is one important difference between using a home computer and the ones here; you need to authenticate your session with the password issued to you at registration. Check the login window looks as shown on the right, and proceed to login.
  • Document home
    Perhaps the single most confusing aspect for most people is what the Home icon (left) means. So let's sort this out immediately. You are working in an enterprise environment, where a fast network connects each computer to a central area for storing files. When you log in, you are granted access to your files, and on the computer desktop, the Home icon means "the directory where the folders and documents associated specifically with the login account are stored". This is because all computers work on the metaphor of a filing system with hierarchies. Home is the top of your personal file system! If you double click this icon, you should see YOUR files. Check this! If you get lost navigating the hierarchical directories, "Home" is always a useful way of restoring a sense of orientation. Home also has a synonym, called "My Documents", which the operating system can sometimes display instead of Home.
  • Office 2007
    Subs and Superscripts
    EndNote tab
    Start Microsoft Office 2007 (we will assume you still have FireFox running). The basic (Home) Word document work area is shown to the in the thumnail to the right (click to expand it) and you should familiarise yourself with some of the palettes. This version of the program is somewhat different from earlier versions you may already be familiar with, such as Office 2003. In particular, open/save/print dialogs are now to be found by pressing on the Icon highlighted here with a red circle. Copy/paste operations are invoked using the icon encircled in purple. Other common operations are found to the right of these two in the taskbar, including the chemically useful subscript and superscripts (right diagram). Note also the the default document saves invokes the new .docx format, which is an XML-based type with much interesting informatics potential. If you intend sending a document to someone who is still using Word 2003 or earlier, you should instead save your document in the older .doc format (although .doc to .docx converters are available). You can also save as PDF, which is useful for project/report submission.
  • Insert tab
    There are two other task-bars you will find useful. the Insert bar inserts a variety of other content, including pictures, tables and the like. The EndNote tab invokes a citation and reference manager, which you will use as described below (Important: If the Endnote ribbon does not show, do the following; Go to Programs/Additional Programs/EndNote/Configure EndNote and run this script, whereupon the EndNote ribbon should appear in Word 2007).
  • Practice copying text from the Firefox Browser Window to the Word document. You can do this using the Copy/Paste metaphor, or you can try the drag-n-drop mode. You will notice that whilst the text itself comes over, any formatting associated with this text (size, colour, weight etc) might not. You may also get more than you bargained for (i.e. hidden browser instructions etc.) [This copy is a one-way operation, since the FireFox window is "read-only"].
  • Save Firefox image
    Images are special when it comes to copying. Proceed as follows:
    1. Find an image in the browser you wish to copy, and with the cursor over the top, right click (Windows) to get a menu that looks like the one on the right:
    2. If one of the options is Copy image, select it. Not all browsers support this, in which case instead invoke save this image as and save it in an appropriate directory (A suitable sub-directory of Home on Windows).
    3. With an Office Word window open, paste the image (if you copied it) or Insert/Picture/from file (if you saved it). The image will come over as its "real size". Word will allow you to rescale it, by dragging the bottom right corner of the image. Observe carefully what happens if you resize it to be larger as well as smaller.
    4. Do remember how to change between windows (the technical term is that the active window is said to be on focus) by selecting the required window from its icon shown on the task bar/dock at the bottom of the screen.
Pentahelicene
Not everything is always "copyable". Some apparent images are in fact produced by an "applet" embedded in the browser. This includes most conspicuously chemical diagrams, such as may often be found on these course notes. Here a copy or a save operation may not produce the effect you desire.
  • Practice naming and saving document files to your Home (Drive H: on Windows) or a removable medium such as a FlashDrive.
  • Practice finding files and documents from these various locations. [It frequently happens that they do not get saved where you think, and finding such lost files is skill you need to acquire rapidly!] Note however that finding content of files may be very slow. Windows Desktop Search is NOT activated on College systems.
  • Practice setting up E-mail, sending a document as an attachment (to yourself) and good e-mail housekeeping and etiquette.

Configuring storage for your document libraries

Programs such as EndNote, Mendeley, iTunes store document collections in the form of libraries. These can get quite big over the course of time, and so its important to store them correctly.

EndNote

When you open EndNote for the first time, it will offer the opportunity to create a new library. You should save it in the location e.g. Computer => userid(\\icfs18.cc.ic.ac.uk) (M:) Thereafter you can set it to open this library when the program starts.

Mendeley

Open the program and invoke Tools/Options/File Organiser and select drive M: for the library.

iTunes

Use Edit/Preferences/Advanced and set the iTunes Media folder location to M: (or other if M: is already full). Also tick Copy files to iTunes Media folder when adding to library.


Combined Word/ EndNote Familiarity

This section will illustrate how the functionality of Word can be extended using a citation or reference manager. First, you will need to generate some citations, and this will be done using a database known as Web of Science, and with the objective of finding out a about penicillin and its conversion to cephalosporin.

A Web of Science Search

  1. WoS search
    From the Web-of-Science link (which you are advised to open in a separate window, using a right-click from the mouse), select the option to
  2. Connect to the ISI Web of Knowledge Service and then select the
  3. Web of Science tab from along the top and finally from the citation databases, narrow it down to the
  4. Science Citation Index expanded
  5. Try checking on the number of articles members of our staff (or your tutors) published in 2009 by entering their name into the Author box. You almost certainly will need to know that first, and probably also their second initial for this to correctly identify them. Check its working by entering a string in the advanced search such as au=Spivey a* and og=imperial and py=2001-2010 and SO=(CHEMICAL COMMUNICATIONS)
  6. When you have some hits, either tick individual citations, or All records on page or a span of records.
  7. Next, make sure you have Microsoft Word running, and from the EndNote X4 taskbar of Word, click on Go to EndNote. From the options offered (which you only see the first time you run EndNote, and also, ignore prompts about EndNote Web for the time being), create a new EndNote database, currently of course empty.
  8. saving a list for Endnote
    saving a list for Endnote
    Return to the Browser window displaying WOS and click on Save to EndNote. An automated procedure should initiate, the end result of which will be that your EndNote library will now be populated by the references you have just found.
  9. If the automated procedure does not initiate, the system will instead produce a file on your computer desktop (it may appear with the name uml_view.cgi on the desktop) which you can open directly with EndNote (see below).

Inserting the citations just found into Word using EndNote

  1. Starting EndNote
    Go back to your bibliographic library in EndNote and before anything happens to it, save it to your M: drive as described above.
  2. Via Edit/preferences/Libraries select to load this database upon startup, thus dispensing with subsequent startup dialogs (it will in fact default to opening the most recently used library).
  3. Checking the style setting
    From Edit/Output style/Open Style Mananger, select the tick-box against a template known as Royal Society of Chemistry (you may have to use Find by/Chemistry to locate it). From now on, always check that this style is correctly set when you open EndNote (arrow 1 to the left).
  4. If you are importing a citation list rather than relying on the automated procedure, then from File/Import of EndNote define the Import Option ISI-CE in the pull down menu, or Other Filters/SciFinder (CAS) if importing SciFinder Scholar) and import any saved datasets you created earlier from WOS or SciFinder.
  5. Go back to Word 2007, and write some text. At an appropriate point, from the Endnote X4 taskbar tab, press Go to EndNote when your library should be revealed (in this case containing the references you have just imported). Select the one you want to insert, and press the Insert citation tab (arrow 2 to the left). If everything has been set up correctly, Word should insert your desired reference from your bibliographic database, formatted according to the RSC guidelines. If you rearrange the order in which the references appear in the text by cutting/pasting, the numbering at the bottom should change accordingly. If you delete a reference, it should disappear from the numbered list.
  6. Save the Word document for future reference. It should serve to illustrate how you will write lab reports, and later in your degree, extended essays (where you may cite between 50-100 references). The whole point of doing it this way is that all the otherwise arduous tasks of numbering and editing the references will be automated for you.

Mendeley and other alternatives to EndNote

A significant problem with EndNote is the cost. This does not matter whilst you are using computers within the College, but it does matter if you want to use your own computer. Alternatives to using EndNote as shown above include RefWorks (for which the client software can be downloaded without cost) and an innovative program called Mendeley which is available on the computers in the department.

  1. If you do want to use RefWorks, please ensure you login via the Shibboleth users option.

Chemdraw Familiarity

  • Click to expand image
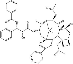
    Taxol
    Taxol
    Starting and using ChemDraw. Start Chemdraw icon from the Start/Programs menu. Practice by drawing Taxol (right). You many need a few hints and tips, and the demonstrators should be able to help you with this. Its easier than trying to describe the technique here (don't worry, everyone picks up Chemdraw by watching others use it!).
  • Check that you have drawn it correctly by calculating its formula. To do this, Go to View/Show analysis window and record what you see (it should give you C47H51NO14. Mol. Weight 853.91). Do you get the same values? If you do not, you will have to try to find where the discrepancy is. Remember, if you cannot draw a structure reliably, you will not be able to search for it reliably. Using the ChemDraw application, select copy/paste the structure into a Microsoft Word window. Practice editing the structure inside the Word processor by double clicking its diagram. Practice re-scaling the ChemDraw diagram either within Word or within Chemdraw. Scaling is normally done by pointing the cursor at the bottom right hand corner (it should change shape at this point) and then "dragging" inwards or outwards to change the size. Try copying instead the Web picture (GIF format) from this Web page to Word. Put side by side with the picture of the same molecule derived from ChemDraw and experiment with scaling both. What is the difference in behaviour?

If you want more practice (with stereochemical wedges text positioning, etc), try the molecule on the left. Can you identify what it is called?

Lecture Support: Journal Familiarity

You can go visit the home pages of some major chemistry publishers, and track down any articles that members of this department may have published there. You might try searching for your current lecturer, or one or more of your tutors. Go directly to one or more of the following

  1. The American Chemical Society (where you can subscribe to an RSS feed of the search, which means you will be notified of new items)
  2. The Royal Society of Chemistry and their premier journal Chemical communications
  3. Nature Chemistry advanced search.
  4. Wiley Interscience and their flagship chemistry journal Angew. Chemie.

The navigation of these journals via their tables of contents is left for you to explore on your own. You can of course go to an article directly by following any DOI link that you might have found in your lecture notes or elsewhere. You should retrieve the Acrobat file corresponding to any articles you may have tracked down, and save them in a folder on your computer H: drive for future use and analysis (for example with the program Mendeley). Later in your course, you may encounter lecture courses or laboratory courses which in fact require you to track down articles in the literature in this manner. It is good to start practising early.

Lecture Support: Named chemicals

  1. To apply the above skills by using WOS to perform a comprehensive literature search on the molecule Penicillin, a reaction (its conversion to Cephalosporin), its properties, both physical (spectroscopic) and biological. Thus, type penicillin and cephalosporin into the Topic box and see if you can prune these down with a more elaborate search perhaps, using some of the Boolean logic shown in the lectures by invoking the Advanced Search option.
    • TI=Reaction AND (TI=penicillin OR TI=cephalosporin) (136)
    • (TI=Reaction AND TI=Penicillin) OR Ti=cephalosporin (2629)
    1. Or, try the drug Temozolomide, currently very much in the news
    2. Tasimelteon (time bending drug for jet lag) or
    3. Sulforapane, which occurs in broccoli and cauliflower and protects against heart attacks.
  2. Compare the results of one of these searches with less specialised search engines such as

Lecture Support: A SciFinder search instead

  • The Scifinder Scholar system has three licenses for general and student use. If you are lucky enough to connect (which means getting up early, staying late or working on the weekend), proceed as follows
    • You cannot use your College login for access, but must request your own login to be created.
      • Go here to register. You have to create yourself a login ID. This ID is quite independent of your College ID, and if you forget the password you have set, you will have to recover it from the SciFinder site. Where it asks you to identify your area of research interest, you may not want to reveal this (we have been assured students will not get related spam sent to them) and you might want to register an interest only in e.g. other field.
    • Completing the registration will result in an email being sent to the email address you provide with activation instructions.
      • Once you have obtained an ID, at the SciFinder site, click on Explore References and in the Research topic box enter "Conversion of penicillin to cephalosporin".
    • You will receive a request to accept an application digital signature at this stage, which you should accept.

You should get ~9 references for an exact match. This interface is supposed to use a more natural language for its search queries (and it does not employ Booleans).

    • Tick the box with 9 hits and request the references. Tick the box against those you particularly wish to save for the future, and then click on the Export link near the top (next to print). From the dialog, set the File Type to Tagged Format.
      • You may need to allow the requested security settings in your browser (IE 8) to allow files to be saved locally. The default location for saving files is your download location. You can then import this into EndNote using the SciFinder (CAS)' import option.
    • An alternative search might be the phrase arrow pushing formalism (can you learn about this topic from the results found for this search?). A synonym might be curly arrow formalism. Does this find the same references, or a different set?
    • You can comment on individual references and invite friends in to see your comments. This might be appropriate for when you are e.g. doing a lab experiment in pairs or groups, and wish to share a reference with them. Go to My connections and invite the group, then add comments to relevant references.
    • SciFinder supports more advanced features such as Explore Substances and Explore Reactions, but you should only investigate these when you are feeling adventurous.

Laboratory Support

Here you will find out how to search for safety information about molecules, and then for their properties and reactions. There are two kinds of search for molecules you will have to make during lab courses.

  1. Where you have an unknown compound whose properties you have measured and you want to know if any known compound matches those properties.
  2. Where you (think you) know what the structure of your compound is, and you want to know if there are any other reports of this same compound (and whether the properties other have measured match your own).

A search for known physical properties using Reaxys

We will start with two examples of the first category and then move on to the rather more common second category.

  • Connect to the Reaxys system. You can carry out all the required course work as an anonymous user, but you will not be able to change/save any settings etc in this mode (such as e.g. changing the default structure editor to ChemDraw).
    • If you do choose to register at this point, be aware that if you loose/forget your password, you will need to contact Reaxys and not local Imperial College support.
  • Select substances and Properties
    • In the Properties (Advanced) box, enter the following, followed by Search.
    • MP.MP=155-156 and IDE.MF=C29H28N2O6S1 and ORP.ORP=190-200

This means in effect, show me ANY molecule which melts at a certain temperature range (determined using a melting point apparatus), which has a given molecular formula (determined using mass spectrometry) and an optical rotatory power between certain values (determined using a polarimeter). For this example you should get exactly 1 hit, which should be to a patent. Explore the options at this point, including viewing the original source of the data ( a patent in this case).

  • There are about 500 different properties in total which you could specify in this manner. To explore them, click on Show Fields and Operators. This type of technique is useful for identifying an unknown compound purely from its physical properties (Forensic science, etc).
    • Note that some features do not always produce the expected result. For example, the icon labelled with the arrow (right) pulls down various options, one of which is copy structure to clipboard. The clipboard contents however are not recognised by eg Chemdraw, Word etc.

A search for known spectroscopic properties

It is routine when a compound is first made to record its spectroscopic properties. This would include the characteristic infra-red frequencies, and the 1H and 13C NMR chemical shifts. These values are shown for an unknown compound. Your task is to use the Spectral Database for Organic Compounds SDBS to try to identify what the compound is (you could of course also do this entirely logically using just your brain).

  1. Try first entering only the 13C NMR chemical shifts (163, 141, 133, 130, 129, 128, 98 ppm, with an anticipated error of around 2ppm). How many matches do you get?
  2. Add then the 1H shifts (8.1,7.5,5.1,4.7 and there is an additional broad multiplet across the range 7.3-7.7 which is not entered) and see if the number of possibilities reduces.
  3. Finally, enter the one characteristic IR vibration (1733 cm-1). Do you now get a unique answer? Record any structure(s) you may get at this stage for future reference.
  4. Try changing the error limits for any of these properties. Thus reduce the NMR limit from 2.0 to 1.5 to 1.0ppm, or the IR limit to 5 or even 1 cm-1 (in future laboratory courses, you will learn how the way the instrument works determines at least in part the accuracy with which these spectroscopic properties can be measured).

Reagent/Product searches for laboratory preparations

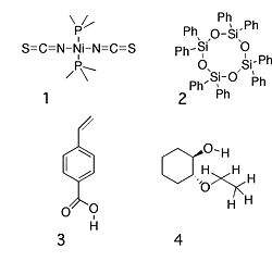
Molecules 1-4
Molecules 1-4

The theme of this section is going to be the following four molecules, which you will in fact encounter in a laboratory course later in the year. You will search for known properties of these molecules, for comparison with those you might measure in the lab, or which may provide useful discussion material for your laboratory reports. Your first task is to generate a so-called SMILES descriptor of the molecule. This is done most simply by drawing the molecule in ChemDraw and using the Edit as/Copy menu produce the SMILES or InChI-key string onto the clipboard. Here are three SMILES strings and one InCHI-key string. Can you match them up to the structures shown on the right?

  1. C=CC1=CC=C(C(O[H])=O)C=C1
  2. S=C=N[Ni]([P](C)(C)C)([P](C)(C)C)N=C=S
  3. O[C@H]1[C@H](OCC)CCCC1
  4. VSIKJPJINIDELZ-UHFFFAOYSA-N
  • Search the ChemSpider database using a SMILES or InChI-key string as above. What sort of information is revealed about the compound?
  • Try reversing the search terms above (instead of SMILEs, try generating an InChI key, or vice versa).
  • Try next an advanced search from the same database. Explore for yourself how to enter the SMILES string and perform the search.
  • Search the PubChem database using a SMILES string. Select the substructure/superstructure or the Identity/Similarity option, and then the CID, SMILES, InChI tab, and past in one of the strings above. Try both 80% similar and identical if using the Similarity option). Again, explore the properties associated with each hit.
    • You might encounter artefacts. Thus with S=C=N[Ni]([P](C)(C)C)([P](C)(C)C)N=C=S, something slightly odd happens?
  • ChemNetBase has compilations of Drugs, inorganic and organometallic and natural products which might prove useful to you for laboratories.
  • The series Organic syntheses contains tried and tested procedures for the synthesis of many chemicals. However, it is quite limited, and you would be lucky to find more obscure compounds listed here.

Sigma-Aldrich Catalogues and MSDS (Safety) information

If you know (or suspect you know) what the identity of the molecules are that you will be handling in the laboratory, the first task is to find out any known safety information. The Aldrich catalogues can be searched for compounds and their associated MSDS safety sheets. This is useful for completing COSHH forms. If you were able to obtain a name (see previous section), see if you can now find any information on it from the Aldrich catalogue.

Reaxys

Connect to Reaxys as before, but now we are going to do a structure based search, using as examples structures 1-4 above. If you click in the frame labelled Double click this frame and draw structure query you will get a default structure editor called ChemAxon MarvinSketch. It is a little different from Chemdraw, but should not take too much time to master.

  1. Using the structure editor, draw one of the four molecules 1-4 and invoke search.
  2. If you think you know the name of your query, type that instead in the Generate structure from name box (e.g. Taxol, which as you have seen earlier is a challenge to draw!). You can also paste a SMILES or InChI key into this box (try any of the four above).
  3. Try hitting Synthesize, but expect to be overwhelmed by the number of hits!

Dictionary of organic compounds

An alternative database which works in this way is the Dictionary of organic compounds.

Converting a 2D structure definition to a 3D set of coordinates

The preceding searches were all effectively conducted on two-dimensional molecules, where we only needed to know how the atoms were connected (in effect the Lewis valence structure). As a prelude to moving into three dimensions, we will illustrate how a 2D search can be used to generate a 3D structure.

  • You can use the on-line Corina service to convert a (1D) SMILES string to 3D molecular coordinates.
    1. Under options, paste the SMILES string, enter a name, and select 3D structure viewer automatically loaded.
    2. Click on Generate 3D structure. A window appears, and after about 20-30 seconds, a structure does as well. At the bottom, click on "Click to download this structure in PDB file format", whereupon a full window diagram appears. Save the molecule as above.

3D structure searching of the Cambridge Crystallographic database

Our final search type is now of a database which stores three-dimensional information about molecules. This is where you can infer all sorts of interesting properties about the bonding, the properties and the potential reactivities of molecules. You will be searching the Cambridge Crystal Structure Database. There are three entry points for this; one local, one via the Web and one via the national chemical database service.

Local invocation of the Cambridge Crystal Structure Database

The local based search described below is feature complete and fast. You may also want to try out the WebCSD service, which needs only a web-browser.

  1. Molecules 1-4
    Molecules 1-4
    Select Conquest from the Start/Programs menu. You will have to reply:
    1. yes to the question about certificates,
    2. enter first your username, then
    3. your password at the two prompts (both of which appear to ask for a password!).
    4. Next, accept the license agreement and
    5. accept the suggested location for storing the directory.
    6. Enter the Site No. as 183 and the confirm code as 8B6458 E0BEE9
    7. Click register online.
    8. These prompts are a one-off, and you will not need to do these steps again.
  2. In the foundation tutorial problems, question 2 asks you to arrow-push the reaction Et2O + MgBr2 → Et2O-MgBr2. Here we will pose the question: what is the 3D geometry of the product of this reaction? You will search for it using Conquest. Does the result surprise you? (Hint: TOQKIT)
  3. Nucleophilic addition to an amide is the prototype of how peptides, proteins and enzymes are broken down in metabolic processes (or using e.g. biological washing powders). The mechanism involves a species known as a tetrahedral intermediate (right), which is normally considered so unstable that it is rarely detected during the reaction. Nevertheless, can you find any examples of such species in the Cambridge database?
  4. Cis-Platin is a well known anti-cancer drug. The active ingredient is the initial hydrolysis product, shown on the right. Can you find any examples of this active intermediate in the database which contain this sub-structure? What happens if you change the Pt to a wild-card indicating the central metal could be any of the group known as 8Z (from the more button of the editor, select other elements and from there click on the orange box labelled 8Z).
  5. Are there any other reactive intermediates you might have identified from your arrow-pushing workshop which you might search for?
  6. When you have finished the above examples, try entering one of the four lab-course molecules shown to the left, exactly as drawn above. For 3 specifically, if you draw explicit hydrogens attached to the vinyl group at the top of the molecule and repeat the search, what difference is there?
    • How many hits do you get?
    • Note the 6-8 letter identifier for the structure you are interested in (for example, for molecule 3 above, it should be XAYFEI, XAYFEI01 and XAYFEI02).
    • Save the 3D coordinates in PDB or CIF format via File/Export, decide how you want to select entries, specify one file per entry and SAVE. Inspect the structure by double clicking the file created, to be found on drive L:
  7. You may now have two versions of any of these four molecules; one a direct experimental structure, and one assembled by the Corina program. How do these differ? Concentrate in particular on compounds 1 and 2 above right!
  8. Later on in your course, you may use such coordinates to create an entry in a Wiki page, much like that rotating below.

An advanced 3D Search.

Try the following. The objective will be to find any short interactions between the H of an OH group and the centroid of a phenyl ring as the electron donor (a very unusual type of π-facial hydrogen bond). Proceed as follows:

  1. Open Conquest and invoke the Build Queries/Draw option
  2. Deposit a benzene ring from the template which should appear on the left
  3. Click on ADD 3D, select all the six carbon atoms in turn (they will go green) and define a centroid. A defined object labelled CENT1 now shows. Press Done.
  4. Back in Draw mode, select a H and deposit it as an isolated atom. Then select O and draw a bond from it to the H to get an OH. In this system, any undefined valence is wild, ie any group can be attached to the O of the OH.
  5. In ADD 3D mode again, click first on the H of the OH group, then on CENT1 in the list of defined objects. A green line connecting the two appears. When a Valid parameter entry named Distance appears, click on Define.
  6. Select Intramolecular from the Choose distance type menu, OK, then Options, enter 2.0 - 2.4 as the range of distances and Separated by 5 - 999 bonds. Hit OK and then Done. Your search query is summarized in a cyan box at the top right of the draw window.
  7. Select Search, tick the 3D Coordinates determined box and Start Search. This search should proceed at the rate of about 1% per second. You should get 20 hits.
  8. View entries via 3D Visualiser. Note the so-called REFCODES. Note CIYSIM in particular!
  9. A right-mouse click in the blue window of the 3D Visualiser will enable you to set spacefill mode, and to inspect whether any two atom spheres inter-penetrate each-other indicating an attractive interaction between them.
  10. Save the coordinates of any selected hits via File/Export, Select PDB or CIF as the format, all selected entries, one file per entry and SAVE.
  11. The files will appear on your L: drive. Double click to open up the WebLab Viewer Pro or Mercury program, and resave them if you wish as an MDL Molfile rather than PDB.
  12. If you want to explore further, define an NH bond rather an OH bond (you might need to increase the distance range to eg 2.0 - 2.5).
  13. Try this with centroids to other π-electron rich systems, such as an alkyne, alkene, or other rings such as cyclopentadienyl, etc.
  14. Go to your network drive N: or L: (i.e. username on neon.ch.ic.ac.uk) and double click any .PDB or .CFIF or .MOL files to view the molecule again.
  15. Or, instead of H-O, just put e.g. Na (metal arene interactions are hugely important biologically). You may need to define a rather longer distance range. Experiment by trying various sets of values.
CIYSIM

The National Chemical Database Service

The CDS is a national service (located as it happens in Daresbury, near Warrington) which offers a range of database services to the UK community. To access this service, follow the instructions here (this is necessary to ensure UK usage only and to monitor that usage as part of justifying a national resource). You will be sent a CDS registration account and password by email. You can then use this account in two ways

  1. Invoke ConquestD (rather than Conquest) from the Windows start menu and proceed as above, but supply your new CDS account instead of your Imperial account.
  2. Invoke the CDS portal here using your CDS account to log in. It offers many alternative services (including searches for spectral data) as well as a simplified crystal search. Explore in your own time!


Further tutorials based on 3D crystal structures

These can be viewed here.

Post Course Activities

Software for your own computer

  1. The department has a Site License for a program system called ChemBio3D (which includes ChemDraw for both Windows and Mac), the terms of which allow individual undergraduates to acquire a copy of the program and to install it on their personal computer. The license is an annual one.
  2. Xming for accessing the Conquest data base.
  3. Programs such as Microsoft Office can be licensed via for £38.95.
  4. EndNote student edition retails for £81.08. Alternatively, try RefWorks (usually $100/year but free for Imperial students through AthensDA) It is a slightly simpler web-based program. A comparison between both can be found here (Princeton University). You should note that the WOS system supports Endnote directly, but requires a more complicated procedure for using RefWorks or Mendeley.



Back to lectures|Back to introduction