Jump to content

It:Oseltamivir

From ChemWiki

Oseltamivir is specially invented for treatment of influenzavirus A and B. It is neuraminidase inhibitors which stop the virus emerge from the infected cell. It is the first neuraminidase inhibitor which is orally active. It was first developed by Gilead sciences and is now available on the market with the trade name – tamiflu. However, in order to get this drug, prescription is needed.

Usage


When Tamiflu was first invented, it was used in treatment or prevention of influenza. Flu virus cause several symptoms to human body. - Stuff nose - Cough - Sore throat - Fever or chills - Aches - Tiredness The use of tamiflu can reduce the recovery times and help the body to relief the symptoms. If the person is not infected by flu virus, he can still take tamiflu to prevent or minimise the chances of infection of influenza.

Dosage


The normal dosage of tamiflu if a person is infected by influenza is to take 2 tablets for in 5 days. For the prevention of flu (especially for those who is going to expose to the flu) is to take one tablet for at least a week.

How does it works


As mentioned above, Oseltamivir is a neuraminidase inhibitor. It binds to the surface of neuraminidase and stops its normal function. Neuraminidase is an enzyme which controls the release of the newly formed virus from the cell. So Oseltamivir does not actually kills the virus or stop its activity, it only stops the virus getting out from the cell. Therefore, when a patient is infected by flu virus, the virus can still replicate even a patient take tamiflu. However, the number of virus will not be huge enough to cause any flu symptoms to the patient if tamiflu is taken at the early stage. This has a very important consequence to the human body. With the help of tamiflu, the flu virus will be acuminated in a small area so the human immune systems can deal with the virus more efficiently.

Avian influenza


In 2005, tamiflu was first used in H5N1 influenza. However, normal dosage results in viral resistance. Therefore, patients required a higher doses and longer period of the drugs and it works quite well.

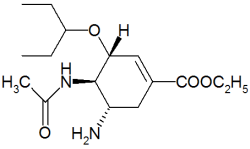
Structure of Oseltamivir

3D Structure


Synthesis route of Oseltamivir



As shown above, the synthesis of Oseltamivir require shikimic acid as a starting materials, and due to the shortage of this important substance, the production of tamiflu was reduced in 2005. However, in early 2006, a new synthetic route has been invented which does not involve the use of shikimic acid and it is called Corey synthesis.


References

1. http://en.wikipedia.org/wiki/Oseltamivir 2. http://www.rxlist.com/drugs/mono-5294-OSELTAMIVIR+-+ORAL.aspx? drugid=17765&drugname=Tamiflu+Oral 3. http://www.netdoctor.co.uk/medicines/100004852.html 4. http://www.webmd.com/drugs/mono-5294-OSELTAMIVIR+-+ORAL.aspx?drugid=17765&drugname=Tamiflu