GatsbyPhysical
Physical Computational
By Gatsby Fitzgerald
Exercise 1:
On a potential energy surface diagram, how is the transition state mathematically defined? How can the transition state be identified, and how can it be distinguished from a local minimum of the potential energy surface?
The saddle point on a potential energy diagram represents the transition state (TS). The first partial derivative of the potential with respect to the two intermolecular distances should equal 0. To confirm that the r values represent the saddle point, you calculate the second derivative of r1 multiplied by the second derivative of r2, subtracting from this the second derivative of r1 and r2. If this equation produces a value of less than 0, then the saddle point has been identified.
At a TS or a minimum, the first derivative of r1 and r2 will be equal to zero. So to find the minimum, the second derivative equation discussed before will equal more than 0, rather than less. Sort of good. the idea is correct about the saddle point. But in this case, it is not really with respect to r1 and r2. it is actually with respect to 1. the diagonal of r1,r2, which will give you a maximum. 2. the reaction coordinate, which will give a a minimum. That's why a saddle point is both a minimum and a maximum at the same point, depending on which plane you are looking at. Sw2711 (talk) 11:40, 4 June 2019 (BST)
Report your best estimate of the transition state position (rts) and explain your reasoning illustrating it with a “Internuclear Distances vs Time” plot for a relevant trajectory:
Using an Intermolecular Distance vs Time graph , the intermolecular TS position can be found. The momentum is set as zero and r1 = r2. By trial and error, the distance in which no oscillation is observed, was found. As the transition state will exist when there is no oscillation, as this is the lowest energy state. Leading to Figure 1.0 and a value of 0.9075 Å was found
Good. Sw2711 (talk) 11:42, 4 June 2019 (BST)

Comment on how the mep and the trajectory you just calculated differ:
Figures 2 and 3, using r1 = 0.9075 Å, r2 = 0.9085 Å and p1=p2=0, show the PES using Dynamic and MEP calculation types respectively.
MEP stands for Minimum Energy Pathway. It is the lowest energy pathway from reactant to product. As the calculation assumes the atoms have no mass, it does not realistically demonstrate the atoms motion. Therefore, their motion will be inertial. As you can see from Figure 2 there are oscillations, while in Figure 3, there is not. This is because dynamic calculations treat the system as a diatomic and atom, therefore, the diatomic has vibrational energy and oscillations. While MEP treats the species as two solids colliding, so there is no vibrational energy.Hmmm.MEP only gives you the lowest energy pathway. But not always from reactant to product. For example, if you try the HHH system using the very first setting in the script, it is not going to react at all, instead, it will be rolling down the hill, which is further down to the reactant channel. Sw2711 (talk) 11:46, 4 June 2019 (BST)


Complete the table above by adding the total energy, whether the trajectory is reactive or unreactive, and provide a plot of the trajectory and a small description for what happens along the trajectory. What can you conclude from the table?
This part is good. Sw2711 (talk) 15:33, 5 June 2019 (BST)
From this table, it can be concluded that:
Higher values of momenta, and, therefore, total energy, do not always lead to reactivity. As we do not see a correlation between momenta/total energy and reactivity. Therefore, there must be other factors which determine reactivity. For example, high vibrational energy may cause the newly formed bonds to break forming reactants.
State what are the main assumptions of Transition State Theory. Given the results you have obtained, how will Transition State Theory predictions for reaction rate values compare with experimental values?
Transition State Theory (TST) is used to describe how a reaction occurs, specifically how a transitions in the reaction pathway from products to reactants. Products to reactants? Sw2711 (talk) 15:36, 5 June 2019 (BST) The main assumption is the Born-Oppenheimer approximation which states that because nuclei are much heavier than electrons(more than 1000 times), they are, therefore, separated. Ψ=ΨelecΨnuc. The atoms can then be classically treated separately. A further assumption is that the reactants must collide with enough energy to overcome the TS energy barrier. However, both assumptions do not take into account tunnelling. The TST assumes that once the molecule has enough energy to overcome the TS barrier, it will from the products. However, as you can see from the last two trajectories of the above question, this is not always the case. Due to high vibrational energy. Furthermore, when there is no equilibrium between products and reactants, according to the Maxwell-Boltzman laws, the transition states that are becoming products are distributed among their states.
In terms of the above trajectories, the first three are likely to obey the TST and the reaction rate can be predicted. As once the energy barrier is overcome, the products are formed. While for the last two systems, even though the reactants have enough energy to overcome the TS barrier, this does not necessarily mean products are immediately formed, or formed at all. For example in the fourth trajectory, even though the reactants have enough energy, due to high vibrational energy, the products dissociate back into reactants. While the fifth trajectory undergoes barrier recrossing, which is not predicted or allowed by the TST theory. In these cases, the TST predictions do not align with the experimental values. Because it is assumed that once molecular systems have crossed the TS in the direction of the products they are unable to return and form reactants.
This part is good. Just be aware that terms like 'Maxwell-Boltzmann' is not very applicable to our case, as we only have three atoms in our system. Sw2711 (talk) 15:36, 5 June 2019 (BST)
Exercise 2
By inspecting the potential energy surfaces, classify the F + H2 and H + HF reactions according to their energetics (endothermic or exothermic). How does this relate to the bond strength of the chemical species involved?
The parameters used:
Atom A = H, B = H and C = F. The AB distance = 0.74 Å, BC = 2.3 Å and a momentum of -2.7.
From figure 4, it can be concluded that H2 + F is exothermic. Because the product channel, HF (BC) is lower in energy than the reactant channel, H2 (AB). So energy is released. This can be justified by looking at relative bond strength, in which because the HF bond (565 KJ/mol) is much stronger than H2 (432 KJ/mol), this leads to a release in energy. The difference in bond strength is due to the larger electronegativity difference in HF. Leading to a more polar, stronger bond. Therefore, HF + F must be endothermic, and this is confirmed by figure 4. Because HF is very strong, energy is required to break it. Hence it is endothermic.
This part is good. Sw2711 (talk) 15:40, 5 June 2019 (BST)

Locate the approximate position of the transition state
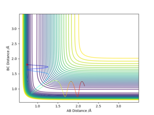
Using figure 5, the approximate TS can be found as roughly AB (HH)=0.7 and BC (HF)=1.5. Then using trial and error, AB was found to be 0.745 Å while BC was found to be 1.811 Å. This is shown in figure 6 where the lack of oscillations in the Internuclear Distance vs Time graph signifies the TS. this part is good too. Sw2711 (talk) 15:40, 5 June 2019 (BST)


Report the activation energy for both reactions
By partially displacing the internuclear distances by +/- 0.01 found for the TS, and using a MEP calculation and using an Energy vs Time graph, the activation energy can be found. As once the trajectory was slightly changed, this would cause it to fall back to the energy of the reactants or products. Using the difference in potential energy on figure 7 and 8 the activation energy can be found. This part is also very good. Sw2711 (talk) 15:40, 5 June 2019 (BST) For H2 + F --> HF + H, using figure 7, the activation energy was found as: 0.22 kcal/mol.
For HF + H --> H2 + F, using figure 8, the activation energy was found as: 29.75 kcal/mol.


In light of the fact that energy is conserved, discuss the mechanism of release of the reaction energy. Explain how this could be confirmed experimentally.
In general, this part is good. Sw2711 (talk) 15:40, 5 June 2019 (BST)
The initial conditions which lead to a successful collision between H2 + F --> HF + H are: 0.74 Å (HH), momenta = -2.5 and 1.81 Å (HF), momenta = -1.69.
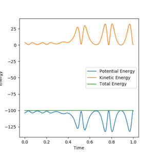
Due to energy conservation throughout the reaction, we can see from figure 9 that HF produces a vibrationally excited state. Which we can identify from the large oscillations in figure 9. This theory of conversation of energy can be confirmed from figure 10. Where we can see that the total energy remains constant. As kinetic energy increases, the potential energy decreases, and vice versa.
The vibrational energy of the HF molecule is likely to be dispersed as heat to its surroundings. This can be confirmed experimentally using gas phase IR. Which is able to measure any deviations in vibrational energy, because the photon released demonstrates the relaxation of the vibrationally excited state. And what will you observe from the IR? Sw2711 (talk) 15:40, 5 June 2019 (BST)



Discuss how the distribution of energy between different modes (translation and vibration) affect the efficiency of the reaction, and how this is influenced by the position of the transition state.
According to Polanyi's Empirical Rules it can be concluded that the activation of a late TS reaction is much more efficiently activated by vibrational energy than the alternative translational energy. While the opposite applies when forming an early TS.
As concluded previously, from figure 4, the reaction H2 + F --> HF + F is exothermic. Therefore, according to the Hammond postulate, this reaction will have an early TS. Where the TS resembles the reactants. Therefore, according to the Empirical Rules discussed above, this reaction should be more efficiently intitiated from translational energy. While the vice versa is true for the reaction going in the opposite direction from HF + F --> H2 + F. Differences in translational and vibrational energy can be explored using different intial momenta. Where the momenta between HH or HF in the diatomic is the vibrational energy. While the momenta between the diatomic and atom represents the translational energy.
The parameters for the below trajectories include: 0.74 Å AB and 1.81 Å AC.
From figure 12 (greater vibrational energy; p(HH)=-3, p(HF)=-0.5) and 13 (greater translational energy; p(HH)=-0.5, p(HF)=-2.4), it can be observed that an excess in translational energy leads to a successful trajectory for H2 + F --> HF + F, while a greater translational energy does not drive a successful trajectory, with an early TS. These results support and agree with Polanyi's empirical rules.


While from figure 14 (greater vibrational energy; p(HF)=-2, p(HH)=-0.5) and 15 (greater translational energy; p(HF)=-0.5, p(HH)=-3), it can be observed from the graphs that the opposite is true to the previous case. In the reverse direction, HF + H --> H2 + F, a greater vibrational energy drives the endothermic reaction, leading to a successful trajectory with a late TS. While a greater translational energy does not drive a successful reaction. These results support and agree with Polanyi's empirical rules.
Overall, this part is good. But it's better to increase the number of steps to make it more obvious, for example. Figure 13. Sw2711 (talk) 15:43, 5 June 2019 (BST)






